Soal Cerita Persamaan Linear 2 Variabel

Jan 28, 2021

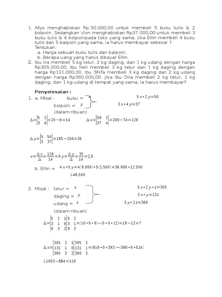
Tutorial Persamaan Linier Dua Variabel Soal Cerita (2) - Matematika SMP - YouTube Cara Menyelesaikan Soal Cerita Sistem Persamaan Linear Dua Variabel SPLDV dengan Cepat dan Mudah - YouTube Sistem Persamaan Linear Dua Variabel Cara Menyelesaikan Soal Cerita yang Berhubungan Dengan Sistem Persamaan Linear Dua Variabel (SPLDV) - Berpendidikan.Com Kumpulan Soal Cerita dan Pembahasan Sistem Persamaan Linear Dua Variabel (SPLDV) - “ILMUKU DUNIAKU” Contoh Soal Cerita Pertidaksamaan Linear Dua Variabel Kelas 11 Tutorial Persamaan Linier Dua Variabel Soal Cerita (1) - Matematika SMP - YouTube Soal Cerita dengan Persamaan Linear Satu Variabel | Tarokutu.com DOC) Soal Cerita Sistem Persamaan Linear Dua Variabel (SPLDV | Lisda Damayanti - Academia.edu Berikan contoh soal cerita tentang SPLTV (Sistem Persamaan Linear Tiga Variabel) beserta - Brainly.co.id SISTEM PERSAMAAN LINEAR DUA VARIABEL - ppt download Contoh Soal Cerita Pertidaksamaan Linear Dua Variabel Kelas 10 - Contoh Soal Terbaru persamaan-linear-dua-variabel-wordpress Sistem Persamaan Linear Dua Variabel Dengan Metode Eliminasi Rangkuman dan Soal Sistem Persamaan Linear Dua Variabel, Materi Belajar dari Rumah untuk SMP - Semua Halaman - Bobo Persamaan Linear Dua Variabel - Contoh, Soal, SPLDV & Sistemnya Kumpulan Soal Dan Pembahasan Sistem Persamaan Linier Dua Variabel Spldv DOC) Sistem Persamaan Linear Dua Variabel (SPLDV | Nonik Mega - Academia.edu Persamaan Linear Satu Variabel - Pengertian, Rumus & Contoh Soal Kumpulan soal dan pembahasan sistem persamaan linier dua variabel Contoh Soal Cerita Persamaan Linear 2 Variabel - Dapatkan Contoh Sistem Persamaan Linear Dua Variabel | Roemahijau Sistem Persamaan Linear Dua Variabel (SPLDV) | idschool Soalnya no: 4-5 Tolng bantu untuk menyelesaikan soal cerita yg berkaitan dengan Sistem Persamaan - Brainly.co.id √ Sistem Persamaan Linear Dua Variabel - 4 Metode Penyelesaian, Soal Sistem Persamaan Linear Dua Variabel Dengan Metode Eliminasi - Bangku Sekolah ANALISIS KESALAHAN MENYELESAIKAN SOAL CERITA SISTEM PERSAMAAN LINEAR DUA VARIABEL (SPLDV) PADA SISWA KELAS VIII SMP NEGERI 1 ORO Contoh soal cerita pertidaksamaan linear 2 variabel beserta penyelesaiannya - YouTube Rpp Sistem Persamaan Linear Dua Variabel Kurikulum 2013 Smp – IlmuSosial.id Sistem Persamaan Linear Dua Variabel Dengan Metode Subtitusi PDF) Analisis kesalahan siswa dalam menyelesaikan soal cerita persamaan linear dua variabel Contoh Soal dan Pembahasan Sistem Persamaan Linear Dua Variabel (SPLDV) - partnermatematika.com Latihan Soal Sistem Persamaan Linear Dua Variabel - MATEMATIKA Metode Grafik Menyelesaikan Sistem Persamaan Linear Dua Variabel Materi Kelas 10 : Persamaan Linear Dua Variabel (PLDV) - RumusHitung.Com Persamaan dan Pertidaksamaan Linear Dua Variabel | Roemahijau √ Sistem Persamaan Linier: Satu, Dua, Tiga Variabel, Materi, Contoh Soal Soal Cerita dengan Pertidaksamaan Linear Satu Variabel | Tarokutu.com Menyelesaikan Sistem Persamaan Linear Dua Variabel (SPLDV) Bentuk Soal Cerita - www.supadilah.com PDF) ANALISIS KESALAHAN SISWA DALAM MENYELESAIKAN SOAL CERITA MATERI SISTEM PERSAMAAN LINEAR DUA VARIABEL KELAS VIII SMP NEGERI 7 SALATIGA Sistem Persamaan Linear Dua Variabel - TemanmuBelajar.com Persamaan Linear Dua Variabel, SPLDV Substitusi, Eliminasi, & Campuran Soal Persamaan Linear Dua Variabel (SPLDV) plus Kunci Jawaban ~ Juragan Les Rumus Dan Cara Menyelesaikan Sistem Persamaan Linear Dua Variabel DAFTAR RUJUKAN - core.ac.uk .Soal Cerita Matematika Materi Sistem Persamaan Linear Dua Variabel Berdasarkan - [PDF Document] Sistem persamaan linier dua variabel (spdlv) SISTEM PERSAMAAN LINEAR DUA VARIABEL ( SPLDV ) - ppt download Selesaikan sistem persamaan linear dua variabel berikut ini. Makasih ( c sama d aja ) - Brainly.co.id Contoh Soal Dan Pembahasan Persamaan Linear Dua Variabel – IlmuSosial.id Contoh Soal Persamaan Linear Dua Variabel Dan Penyelesaiannya Pdf - Contoh Soal Terbaru SISTEM PERSAMAAN LINEAR DUA VARIABEL - PDF Free Download Sistem Pldv contoh soal cerita persamaan linear dua variabel | Laeli TM PPT - SISTEM PERSAMAAN LINEAR DUA VARIABEL PowerPoint Presentation, free download - ID:1937598 4 Cara untuk Menyelesaikan Sistem Persamaan Linear Dua Variabel (SPLDV) ANALISIS KESALAHAN MENYELESAIKAN SOAL CERITA SISTEM PERSAMAAN LINEAR DUA VARIABEL (SPLDV) PADA SISWA KELAS VIII SMP NEGERI 1 ORO CARA CEPAT MENYELESAIKAN SOAL SISTEM PERSAMAAN LINEAR DUA VARIABEL DENGAN RUMUS JITU - AL FATIH 20+ Soal dan Pembahasan Matematika Dasar Sistem Persamaan (SPLDV dan SPLTV) | defantri.com Persamaan Linear Dua Variabel dan Contoh Soalnya Contoh Soal Persamaan Linier 2 Variabel - Contoh Soal Terbaru Contoh Soal Dan Jawab Matematika Materi Spldv Guru Ilmu Sosial - Cute766 bentuk umum dan ciri-ciri sistem persamaan linear dua variabel. ax + by + c = 0 Contoh Soal Cerita Sistem Persamaan Linear Dua Variabel (SPLDV) Kerjakan Latihan Soal Sistem Persamaan Linear Dua Variabel di Video Ini - Semua Halaman - Bobo Latihan Soal Sistem Persamaan Linear Dua Variabel - MATEMATIKA Tugas Mata Kuliah Pengelolaan Pembelajar Sistem Persamaan Linear Dua Variabel dan dalam kehidupan PEMBAHASAN SOAL SISTEM PERSAMAAN LINEAR DUA VARIABEL Contoh Soal Persamaan Linear 3 Variabel Dan Pembahasannya Contoh Soal SPLDV Matematika SMP (2) | idschool Sistem Persamaan Linear | Bernad JD Sitompul - Academia.edu ANALISIS KESULITAN SISWA DALAM MENYELESAIKAN SOAL-SOAL PENERAPAN SISTEM PERSAMAAN LINEAR DUA VARIABEL Fadli Hi.Idris , Ikram Ham Sistem persamaan linear 1 2 3 variabel eliminasi substitusi determinan Bahas Tuntas] Cara Mudah Menyelesaikan Soal Cerita Sistem Persamaan Linear Tiga Variabel (SPLTV) - YouTube Contoh Soal Cerita Sistem Persamaan Linear Dua Variabel – Surabaya Contoh Soal Persamaan Linear - Guru Paud ANALISIS KESALAHAN SISWA DALAM MENYELESAIKAN SOAL CERITA MATERI SISTEM PERSAMAAN LINEAR DUA VARIABEL ANALISIS KESULITAN SISWA MTs KELAS VIII DALAM MENYELESAIKAN SOAL CERITA SISTEM PERSAMAAN LINEAR DUA VARIABEL (SPLDV) DITINJAU D Sistem persamaan-linear-dua-variabel | Matematika kelas 8, Aritmetika, Matematika Matematika Kelas 8 | Cara Menyelesaikan Sistem Persamaan Linear Dua Variabel (SPLDV) CONTOH SOAL CERITA PROGRAM LINEAR DAN PEMBAHASAN Cara Menentukan Himpunan Penyelesaian Sistem Persamaan Linear Dua Variabel (SPLDV) dengan Metode Grafik, Subsitusi dan Eliminasi - Berpendidikan.Com RENCANA PELAKSANAAN PEMBELAJARAN (RPP) Soal dan Pembahasan Super Lengkap - Sistem Persamaan Linear Dua Variabel (SPLDV) - Mathcyber1997 Ejercicio de Sistem Persamaan Linear Dua Variabel Revisi Terbaru Contoh Soal Cerita Spltv 3 Variabel Sistem Pertidaksamaan Linear Dua Variabel-AL Fatih - AL FATIH Contoh Soal Cerita Model Matematika Beserta Jawabannya PPT - SISTEM PERSAMAAN LINEAR DUA VARIABEL PowerPoint Presentation, free download - ID:5425808 Cara Cepat Sistem Persamaan Linear Dua Variabel Spldv Metode Determinan – Corona Todays ANALISIS KEMAMPUAN BERPIKIR KREATIF SISWA DALAM MENYELESAIKAN SOAL CERITA PADA MATERI SISTEM PERSAMAAN LINEAR DUA VARIABEL KELAS VIII DI MTs WALISONGO BESUKI - Institutional Repository of IAIN Tulungagung PEMBAHASAN UN MATEMATIKA SISTEM PERSAMAAN LINEAR DUA VARIABEL Persamaan Linear Satu Variabel Soal Cerita – Extra DESKRIPSI PENYELESAIAN SOAL CERITA SISTEM PERSAMAAN LINEAR … · Pada materi sistem persamaan linear dua variabel mempunyai dua persamaan, materi ini berkaitan dengan soal cerita. - [PDF Document] Sistem Persamaan Linear Dua Variabel - [PDF Document] Matematika Kelas 8 | Cara Menyelesaikan Sistem Persamaan Linear Dua Variabel (SPLDV) kelas08_matematika-konsep-dan-aplikasinya_dewi-tri by s. van selagan - issuu contoh soal cerita persamaan linear 3 variabel dan pembahasannya brainly ANALISIS KESULITAN SISWA DALAM MEMECAHKAN SOAL CERITA MATERI SISTEM PERSAMAAN LINEAR DUA VARIABEL DI SMP NEGERI 2 BATU - UMM Institutional Repository Sistem Persamaan Linear Dua Variabel dengan Metode Substitusi - Bangku Sekolah

Pidato Tentang Mensyukuri Nikmat Allah Swt

Isi Universal Declaration Of Human Rights