Patofisiologi Mola Hidatidosa

Jan 27, 2021

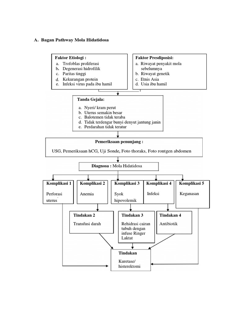
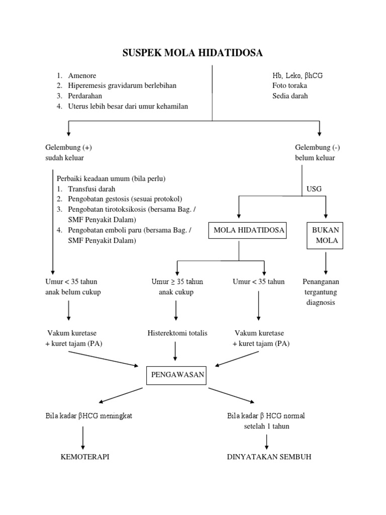
Patofisiologi Mola Hidatidosa PATOFISIOLOGI MOLAHIDATIDOSA 294110083-PATOFISIOLOGI-MOLAHIDATIDOSA.docx - Lengkap … Mola hidatidosa Patofisiologi Mola Hidatidosa DOC) Pathway Mola Hidatidosa | Rise Sihombing - Academia.edu Bagan Pathway Mola Hidatidosa Pathway Mola DOC) PATOGENESIS MOLA HIDATIDOSA | Arista Vidia - Academia.edu pathway claudia MOLA HIDATIDOSA mola hidatidosa algoritma penatalaksanaan mola hidatidosa Mola Hidatidosa - patofisiologi, diagnosis, penatalaksanaan … NURSE (Nonstop, Unsatisfied, Responsive, Skilled, Empathy … LAPORAN KASUS GINEKOLOGI MOLA HIDATIDOSA OLEH: AINUN KARIMA H1A … BAGIAN UTAMA MOLA HIDATIDOSA.docx - BAB I PENDAHULUAN Penyakit … Mola hidatidosa Patogenesis Mola Hidatidosa Andini Hidayani Dalimunthe - ppt download 294110083-PATOFISIOLOGI-MOLAHIDATIDOSA.docx - Lengkap … DOC) MOLA RENY | Reny Lenita - Academia.edu KAJIAN KGD MATERNITAS PENYAKIT GASTROINTESTINAL dalam KEHAMILAN - ppt download PATOFISIOLOGI MOLAHIDATIDOSA ASKEP MOLA HIDATIDOSA BAB II PEMBAHASAN | Septian Putra - Academia.edu Tugas Mola Hidatidosa - [PDF Document] DOC) MOLA | dinda atikah - Academia.edu Mola hidatidosa Patofisiologi Kejang Pdf laporan kasus - E molahidatidosa King Sasaqi: ChorioCharsinoma 294110083-PATOFISIOLOGI-MOLAHIDATIDOSA.docx - Lengkap … IV. Proses Rujukan Ibu Hamil Kelompok A mola hidatidosa | badungariani 294110083-PATOFISIOLOGI-MOLAHIDATIDOSA.docx - Lengkap … Mola Hidatidosa - [PDF Document] DOC) ASKEP MOLA HIDATIDOSA | tyara azha - Academia.edu Mola hidatidosa mola hidatidosa Mola Hidatidosa - [DOCX Document] PDF) Aspek Patobiologis pada Penyakit Trofoblas Gestasional DOC) MOLAHIDATIDOSA | Silvia Intan - Academia.edu Kehamilan Mola Hidatidosa Pdf Molahidatidosa 294110083-PATOFISIOLOGI-MOLAHIDATIDOSA.docx - Lengkap … MOLA HIDATIDOSA | Harahap | Majalah Biomorfologi Patofisiologi Perdarahan Uterus Abnormal MOLA HIDATIDOSA Laporan Kasus Mola Hidatidosa - [DOC Document] DOC) CASE ISHIP MOLA | sendy perdana - Academia.edu Mola hidatidosa Patofisiologi Mola Hidatidosa 294110083-PATOFISIOLOGI-MOLAHIDATIDOSA.docx - Lengkap … Kehamilan Mola Hidatidosa (Mola Hydatidosa) | Obstetri | Lusa Mola Hidatidosa - [PPT Powerpoint] Mola hidatidosa Mola Hidatidosa - [PDF Document] 55107846-LP-Mola-Hidatidosa.doc - LAPORAN PENDAHULUAN MOLA … DOC) MATERI MOLAHIDATIDOSA | Altyrai Hana - Academia.edu Gtd mola hidatidosa Kasus Mola Hidatidosa - [PDF Document] Bab Elsa Febri Abortus Mola Kel Angkatan 2012 Presus Mola - [PDF Document] Referat Mola Hidatidosa [vnd5z0r1xjlx] Mengenal Mola Hidatidosa / Kehamilan Anggur - YouTube 294110083-PATOFISIOLOGI-MOLAHIDATIDOSA.docx - Lengkap … DOC) Project Based Learning Mola Hidatidosa | Octa Yulvi … Hamil Anggur (Mola Hidatidosa) | kuliah kedokteran BAB I, II, III Pendarahan Kehamilan Muda 294110083-PATOFISIOLOGI-MOLAHIDATIDOSA.docx - Lengkap … PDF) FAKTOR PATOGENESIS DAN DIAGNOSIS PENYAKIT von Willebrand mola hidatidosa - [PPTX Powerpoint] BAB III - [DOCX Document] 55107846-LP-Mola-Hidatidosa.doc - LAPORAN PENDAHULUAN MOLA … Pathogenesis Mola Hidatidosa asuhan keperawatan pada pasien hiperemesis gravidarum Patofisiologi Kehamilan Mola Hidatidosa Mola Hidatidosa - [PPT Powerpoint] LAPORAN KASUS GINEKOLOGI MOLA HIDATIDOSA .Secara makroskopik, mola … Mola Hidatidosa (Hamil Anggur, mola komplit, parsial … Hai sobat Kabar gembira buat kamu calon… - Optima Preparation … PPT) PRESENTASI MOLA HIDATIDOSA | Noveldy Pitna - Academia.edu PENYAKIT GASTROINTESTINAL dalam KEHAMILAN - ppt download Kasus Mola Hidatidosa Dr.dadang (Autosaved) (Repaired) - [DOCX … Proposal Penelitian Preeklampsia [30j756y15v0w] Official Website of AKBID BINA HUSADA TANGERANG Hiperemesis Gravidarum [8x4eqpz7wy43] Askep Kehamilan Mola Hidatidosa Patofisiologi Mola Hidatidosa LAPORAN PENDAHULUAN PRE EKLAMSI BERAT (PEB) - PDF Free Download Referat Mola Hidatidosa - [DOC Document] Hiperemesis Gravidarum - ppt download Gtd mola hidatidosa DOC) MOLATIDOSA | Satria Satria - Academia.edu Hamil Anggur/mola hydatidosa - YouTube Asuhan Keperawatan Persalinan Dengan Letak Sungsang Pemeriksaan Ginekologi 2 [2nv85xpkeolk] Asuhan Keperawatan pada Pasien Kista Ova

Heavenly Aegis

Tuneup Utilities 2019 Full Version