Materi Persamaan Dan Fungsi Kuadrat Kelas 10

Jan 28, 2021

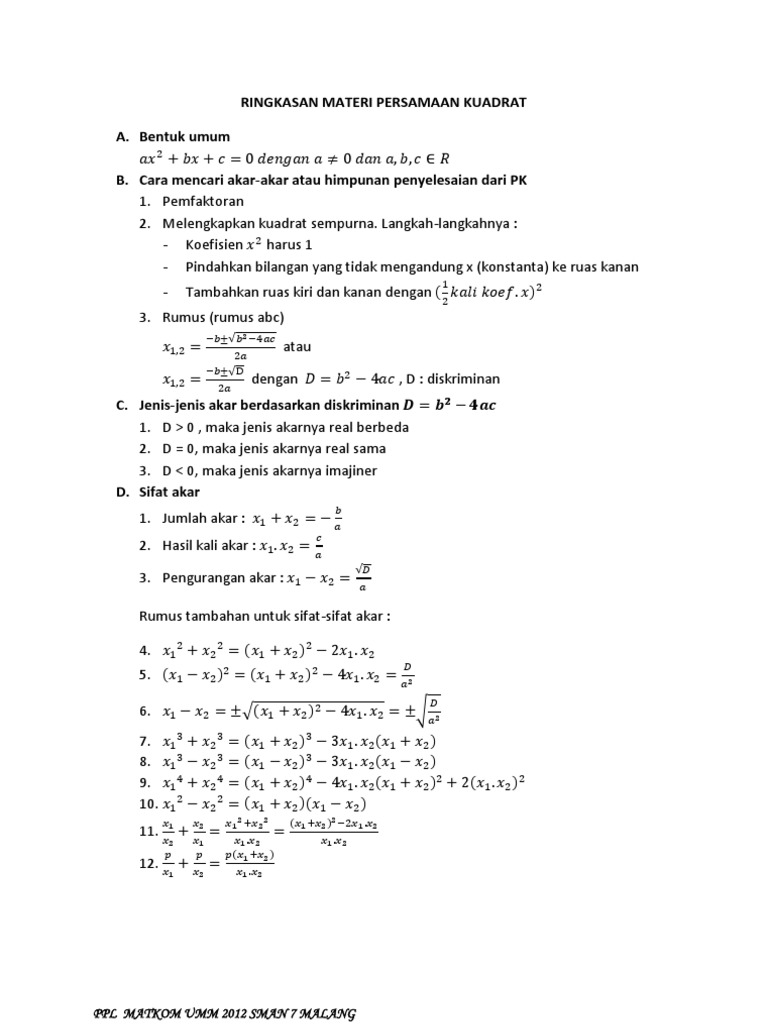
Persamaan dan Fungsi Kuadrat Persamaan dan Fungsi Kuadrat Materi Matematika Kelas X SMA - Persamaan Kuadrat | Ibu Guru Susi SR MODUL PERSAMAAN DAN FUNGSI KUADRAT.pdf Materi Matematika Kelas X SMA - Persamaan Kuadrat | Ibu Guru Susi SR bab iii. persamaan dan fungsi kuadrat Rangkuman, Contoh Soal & Pembahasan Fungsi Kuadrat Persamaan Kuadrat - Rumus ABC, Akar-akar, PK Baru, Contoh Soal Ringkasan Materi Persamaan Kuadrat Materi Persamaan Kuadrat - Rumus. Akar, & Contoh Soal M102 Fungsi Kuadrat : Pengantar Fungsi Kuadrat (part a … Persamaan FUNGSI KUADRAT | Konsep yang Mudah dan Kuat Matematika … BAB II : Persamaan dan Fungsi Kuadrat – Ratunya Ilmu Persamaan dan Fungsi Kuadrat Soal Persamaan Dan Fungsi Kuadrat Kelas 9 - Guru Paud Materi Tentang Fungsi Kuadrat – IlmuSosial.id Rumus Persamaan Grafik Fungsi Kuadrat dari Gambar | idschool Ulangan Harian Persamaan Kuadrat Soal-soal persamaan kuadrat dan fungsi kuadrat Persamaan Fungsi Kuadrat SMK Beserta Contoh - Wayae Belajar Jawaban Soal Persamaan dan Fungsi Kuadrat, Belajar dari Rumah TVRI … persamaan fungsi kuadrat Soal Matematika Fungsi Kuadrat - Kunci Dunia Persamaan dan fungsi kuadrat Sketsa Grafik Fungsi Kuadrat, Materi Belajar dari Rumah TVRI 5 Mei SMA persamaan dan fungsi kuadrat smp kelas 9 buku bse revisi 2018 … PDF) RENCANA PELAKSANAAN PEMBELAJARAN ( RPP ) Satuan Pendidikan … Persamaan dan Fungsi Kuadrat - PDF Download Gratis Persamaan Kuadrat - Matematika Kelas 9 | Quipper Blog Persamaan dan Fungsi Kuadrat Serta Contoh Soal - Tambah Pinter Soal dan Pembahasan Materi Persamaan Kuadrat dan Fungsi Kuadrat DOC) Rencana Pelaksanaan Pembelajaran (RPP) Persamaan dan Fungsi … Persamaan Kuadrat - Pengertian, Macam, Sifat, Rumus, Contoh Soal Contoh Soal dan Pembahasan : Persamaan Kuadrat SMA Membuat Fungsi Kuadrat dari Grafik | Matematika Kelas 10 Materi Persamaan Kuadrat - Rumus. Akar, & Contoh Soal 30+ Soal dan Pembahasan Matematika Dasar Fungsi Kuadrat | defantri.com √ Materi Linear: Rumus, Fungsi Linear, Persamaan Kuadrat, Contoh Soal dan Pembahasan - Fungsi Kuadrat - Mathcyber1997 Materi Persamaan dan Fungsi Kuadrat Matematika Kelas 9 (IX) SMP … Contoh Soal Akar Akar Persamaan Kuadrat Beserta Jawabannya … Peta Konsep. Peta Konsep E. Grafik Fungsi Kuadrat. - ppt download Soal dan Pembahasan - Fungsi Kuadrat - Mathcyber1997 Persamaan dan Fungsi Kuadrat-Flip Book Pages 1-15 | PubHTML5 BAHAN AJAR MATEMATIKA KLS X SMT 1 PERSAMAAN KUADRAT ALI GUFRON … BAB II : Persamaan dan Fungsi Kuadrat – Ratunya Ilmu RPP Fungsi Kuadrat SMA Kelas X Fungsi Kuadrat - Grafik, Rumus, Menyusun Persamaan, Contoh Soal DOC) RPP PERSAMAAN DAN FUNGSI KUADRAT | rahmadi almuhklisan … Materi 7 Fungsi Kuadrat - Cute766 Materi Matematika Kelas 10 - Persamaan dan Fungsi Kuadrat di 2020 … Persamaan dan Fungsi Kuadrat (Materi LENGKAP) - YouTube 1 RENCANA PELAKSANAAN PEMBELAJARAN ( RPP ) Mata Himpunan yang Memenuhi Fungsi Kuadrat, Jawaban Soal TVRI PERSAMAAN FUNGSI DAN KUADRAT 1 Persamaan Dan Fungsi Kuadrat Zenius – Rajiman Rangkuman, Contoh Soal & Pembahasan Persamaan Kuadrat Persamaan dan fungsi kuadrat Soal dan Pembahasan - Persamaan Kuadrat (Versi HOTS/Olimpiade … PERSAMAAN KUADRAT Mata Pelajaran: MATEMATIKA Kelas : X Semester … RPP Fungsi Kuadrat Kelas IX Soal Matematika Fungsi Kuadrat - Kunci Dunia Materi dan Pembahasan Soal Persamaan Kuadrat Kelas 10 - M4thguru Tentukan persamaan grafik fungsi kuadrat berikut! A. Persamaan … JAWABAN Materi Persamaan dan Fungsi Kuadrat SMA/SMK Program … BAB II : Persamaan dan Fungsi Kuadrat – Ratunya Ilmu DOC) Rencana Pelaksanaan Pembelajaran (RPP) Persamaan dan Fungsi … √ Fungsi Kuadrat: Fungsi, Rumus, Grafik Parabola, Soal Yuk, Pelajari Sifat Fungsi Kuadrat dan Cara Membentuknya! Pahami Fungsi Kuadrat Melalui Grafik dan Rumus video pembelajaran fungsi kuadrat - YouTube grafik fungsi kuadrat y=x2-4x+4, bserta gambar grafik - Brainly.co.id 6 Contoh Soal Pilihan Ganda Persamaan dan Fungsi Kuadrat Lengkap … Rpp matematika (persamaan, pertidaksamaan dan fungsi kuadrat) Matematika Kelas 9 | Menyelesaikan Persamaan Kuadrat Persamaan dan pertidaksamaan kuadrat Rumus Persamaan Kuadrat Matematika Lengkap PERSAMAAN DAN FUNGSI KUADRAT - Belajar Matematika DAN FUNGSI … Soal dan Jawaban TVRI SMA Matematika Persamaan dan Fungsi Kuadrat … Soal Matematika Fungsi Kuadrat Fungsi Kuadrat dan Contoh Soal √ Persamaan Kuadrat (LENGKAP) : Pengertian, Rumus, Contoh Soal … Pahami Fungsi Kuadrat Melalui Grafik dan Rumus Soal Matematika Fungsi Kuadrat - Kunci Dunia Langkah-Langkah Menggambar Grafik Fungsi Kuadrat | idschool ANALISIS KESALAHAN DALAM MENYELESAIKAN SOAL SOAL FUNGSI KUADRAT … Persamaan Fungsi Kuadrat SMK Beserta Contoh - Wayae Belajar Invers Fungsi Kuadrat – Bimbel Tridaya Online Cara Menjawab Sketsa Grafik Fungsi Kuadrat dalam Soal Materi … Prolog Materi - Titik Potong Kurva Fungsi Kuadrat dengan Sumbu-x Pembahasan Soal Fungsi Kuadrat UN 2018 Menentukan Akar Persamaan Kuadrat, Jawaban Soal TVRI 21 Juli Matematika Menjawab: Menggambar Sketsa Grafik Fungsi Kuadrat … Rumus Persamaan Kuadrat - Penyelesaian, Akar dan Contoh Soal RPP SMA Kls X Smt 1 Matematika PERS DAN FUNGSI KUADRAT RINGKASAN MATERI BAB 2 : PERSAMAAN DAN FUNGSI KUADRAT SMP KELAS 9 … Ringkasan Materi Fungsi Kuadrat Kelas 9 SMP Kurikulum K13 - Gatra Guru PDF) Upaya Meningkatan Hasil Belajar Matematika Materi Persamaan … Persamaan Kuadrat - Matematika Kelas 9 | Quipper Blog Kisi-Kisi PAT Matematika Wajib Kelas 10 Terbaru - panduandapodik.id

Soal Dan Pembahasan Kesetimbangan Benda Tegar Dan Titik Berat

Kalimat Yang Merupakan Pendapat Dinyatakan Pada Nomor