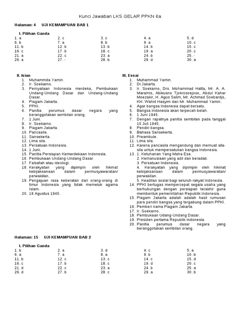
Lks Pkn Kelas 8 Semester 2

Jan 28, 2021

Jual BUKU PR PKn PPKn SMP KELAS 8 SEMESTER 2 INTAN PARIWARA … Buku Siswa PPKn Kelas VIII Edisi Revisi 2017 Lembar kerja siswa PR PKN SMP kls VIII semester k13 | Shopee Indonesia Tolong jawab ya…. Soal PKN kelas 8 Smp - Brainly.co.id Pelajaran Pkn Kelas 8 Semester 2 Kurikulum 2013 - Cara Mengajarku Ringkasan Materi PPKn Kelas 8 Bab 6 “Memperkuat Komitmen … Uji Kompetensi Lks Pkn Kelas 8 Semester 2 – IlmuSosial.id Buku siswa kurikulum 2013 Ppkn kelas VIII please kak,, semua!!pkn kelas 8 semester 1 - Brainly.co.id Rangkuman Materi PPKN Kelas 8 Bab 3 - Portal Edukasi Pelajaran Pkn Kelas 8 Semester 2 Kurikulum 2013 - Cara Mengajarku Buku Lks Pkn Kelas 8 Semester 2 - Guru Paud LKS SMP/MTS Kelas 8/VIII Semester Genap (Semester 2) Kurikulum … Jual Produk Buku Ppkn Kelas 8 Termurah dan Terlengkap Januari 2021 … Kunci Jawaban Lks Pkn Kelas 8 Semester 2 Kurikulum 2013 - Guru Galeri soal pkn kelas 8 semester 1 & 2 beserta jawabannya kurikulum 2013 … Pkn Kelas 8 Semester 1 Kurikulum 2013 – IlmuSosial.id Kisi-kisi, Soal dan Kunci Jawaban PKN SMP Kelas 8 Semester Genap … Materi PKn Kelas 8 Kurikulum 2013 Revisi 2017 Pelajaran Pkn Smp Kelas 8 Semester 2 Jual Produk Pkn Kelas 2 Semester Termurah dan Terlengkap Januari … Ringkasan Materi PPKn Kelas 8 Bab 6 “Memperkuat Komitmen … Kunci Jawaban Buku Intan Pariwara Pkn Kelas 8 Semester 1 - Kanal Jabar Download Buku Kurikulum 2006 SMP/MTs Kelas 8 Lengkap - Dadang JSN Materi Pelajaran PPKN Kelas 8 K13 Semester 1 dan Semester 2 … Rangkuman Materi PPKN Kelas 8 Bab 1 - Portal Edukasi Get Kunci Jawaban Pkn Kelas 8 Hal 41 PNG Jual Buku SMP Kelas 2 Buku LKS Prakarya Kelas 8 SMP Semester 2 … Kunci Jawaban Lks Biologi Kelas 10 Semester 2 - lasopascrap Soal PKn Kelas 8 Tahun Ajaran 2021 Dan Kunci Jawaban Soal Pas Kelas 8 Semester 1 Pkn Kunci dan Perangkat PKN SMP kelas 8 Kunci Jawaban Lks Pkn Kelas 8 Kurikulum 2013 - Guru Galeri Buku Siswa Pkn Kelas 8 Semester 2 – IlmuSosial.id Kumpulan Soal PKn SMP Kelas 8 Semester Ganjil | Didno76.com Shiny Brite - Kunci Jawaban Buku Pr Ips Terpadu Kelas 8 Intan … rangkuman ppkn kelas 8 - Brainly.co.id Materi PKN Kelas 8 Semester 2 Bab 5 - PPKN.CO.ID Buku lks pr pkn kelas 8 smp semester 2 intan pariwara | Shopee … Jual buku LKS PR PKN kelas 8 smp semester 2 kurikulum 2013 di … Pelajaran Pkn Kelas 8 Semester 2 Kurikulum 2013 Ringkasan Materi PPKn Kelas 8 Bab 4 “Semangat Kebangkitan Nasional … Kunci Jawaban Lks Ipa Kelas 8 Semester 2 Kurikulum 2013 … Rangkuman PKN Kls 8 Semester 2 Bab Kedaulatan Rakyat Jual Pkn Kelas 11 Semester 2 Murah - Harga Terbaru 2021 Lembar Soal UTS PKN SMP Kelas VIII Semester 1 / Semester Ganjil … LATIHAN SOAL PAT PPKN (PKN) KELAS 8 SMP MTS KURIKULUM 2013 … Lks Pkn Kls 8 - Dunia Sekolah Soal PKN Kelas 8 Semester 1 - PPKN.CO.ID Download Buku Kurikulum 2006 SMP/MTs Kelas 8 Lengkap - Dadang JSN Soal Pkn Kelas Xi Semester 1 Essay buku lks ppkn smp kelas 8 semester 2 k13 intan pariwara … Lks SMP/Mts Archives - GudangLKS.com - Pusat Jual Buku LKS Uji Kompetensi Lks Pkn Kelas 8 Semester 2 – IlmuSosial.id minta tolong dong LKS PPKN kelas 8 semester 2 halaman 50 … Buku Ajar Smp Kelas 8 Pdf Bahasa Inggris Ktsp - multifilesclub Kunci dan Perangkat PKN SMP kelas 8 Buku Lks Pkn Kelas 8 Semester 2 | Soal Revisi Soal Pkn Kelas 9 Semester 2 Beserta Jawabannya Kurikulum 2013 … PKN Kelas 8 Semangat Kebangkitan Nasional Tahun 1908 - YouTube Jawaban Uji Kompetensi 3 Pkn Kelas 8 Halaman 73 - Dunia Sosial Jual Buku LKS PKN kelas 8 - Jakarta Barat - graciacorn3r | Tokopedia Soal PKN Kelas 8 SMP/MTS 2021 dan Kunci Jawabannya Lks Pkn Ratih Smp Kelas 8 Semester 117 - lks ratih kelas 8 pkn smp … Pelajaran Pkn Smp Kelas 8 Semester 2 Silabus PKn Kelas 8 Kurikulum 2013 Tahun 2019/2020 … Soal Essay PKN Kelas 8 Dan Jawabannya Lengkap - 45+ Contoh Soal UKK PKn Kelas 8 SMP/MTs Semester Genap … Buku Lks Pkn Kelas 8 Semester 2 | Soal Revisi Semangat Kebangkitan Nasional Tahun 1908 (Materi PKN SMP Kelas 8 … Kunci Jawaban LKS GELAR Pkn Kelas 6a Tolong dijawab yah!! aktivitas 2.4 PKN kelas 8 Semester 1 … Soal Pkn Kelas Xi Semester 1 Essay Agama-islam-UAS-semester-2-kls-2.pdfgolkes - LEAP LYCHEES … Kunci Jawaban 1 4 Pkn Kelas 8 – IlmuSosial.id LKS MODUL PENGAYAAN KELAS 8 / VIII SMP KURIKULUM 2013 MATEMATIKA … VERIFIED Kunci Jawaban Lks Kreatif Biologi Kelas 12 | nanamego’s Ownd PPKN SMP Kelas 8 Kurikulum 2013 for Android - APK Download Soal pkn bab i, sem ii, kelas 8 Kunci Jawaban Lks Pkn Kelas 8 Kurikulum 2013 - Guru Galeri Rangkuman Materi IPA Kelas 8 Bab 10 - Portal Edukasi DOC) SOAL DAN KUNCI JAWABAN LATIHAN UKK PKn SMP KELAS 8 | Bagus … Soal dan Kunci Jawaban PAT PPKn SMP Kelas 8 Kurikulum 2013 Tahun … Kunci jawaban aktivitas 1.1 pkn kelas 8 smp/mts - Materi sekolah AGEN ASURANSI JIWA DAN KESEHATAN - Kunci Jawaban Buku Pr Ips … Jual Produk Pkn Kelas 2 Semester Termurah dan Terlengkap Januari … Kunci Jawaban Buku Intan Pariwara Pkn Kelas 8 Semester 1 - Kanal Jabar Tabel 2.1 Daftar Pertanyaan, PKN kelas 8 halaman 27 - Kkaktri … Lks Pkn Ratih Smp Kelas 8 Semester 117 - lks ratih kelas 8 pkn smp … Soal dan Kunci Jawab Siap UKK/ UAS Semester 2 PKn Kelas 8 … √ Tabel 2.1 Daftar Pertanyaan PPKn Kelas 8 Halaman 27 - Operator … Jual Buku SMP Kelas 2 Buku PPKN PKN Kelas 8 - Jakarta Timur … Buku Kurikulum 2013 Kelas 8 SMP/MTs Revisi 2017 Guru dan Siswa Get Kunci Jawaban Pkn Kelas 8 Hal 41 PNG Jawaban Uji Kompetensi 3 Pkn Kelas 8 Halaman 73 - Dunia Sosial Buku Lks Pkn Kelas 8 Semester 2 - Guru Paud Buku LKS PR Kelas 8 Pendidikan Pancasila dan Kewarganegaraan (PPKN … Download Buku Kurikulum 2013 Revisi 2017 Kelas 8 SMP/MTs - Ayo … Jawaban Pkn Kelas 8 Halaman 41 Tabel - OPS SEKOLAH KITA Lks Pkn Ratih Smp Kelas 8 Semester 1.17 - boyandhisblogforao3’s Blog

Lirik Lagu Janam Janam Ost Dilwale

Perbedaan Batu Ginjal Dan Gagal Ginjal