Which One Is Not The Expression Of Leave Taking

Jan 28, 2021

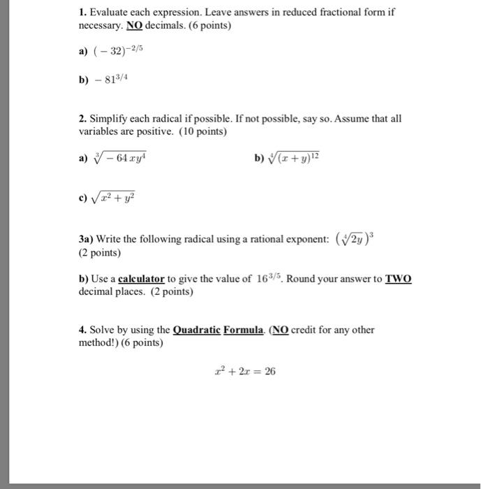
Chapter 1 Greeting and Leave Taking | fauzigeneraloflostsaga English lesson plan kd 1.1.1 Which one is not the expression of leave taking A. See you B. Good … Greeting, Introduction and Leave - Takings (Englishpost.org) Chapter 1 Greeting and Leave Taking | fauzigeneraloflostsaga Which one is not the expression of leave taking? A.good bye B.good … Take vs Get (includes examples and exercises) British Council on Twitter: “Correct the given sentence by … Analysis of A Leave-Taking by Algernon Charles Swinburne Chapter 1 Greeting and Leave Taking | fauzigeneraloflostsaga A Leave-Taking – Poetry Prof A Leave-Taking – Poetry Prof Solved: 1. Evaluate Each Expression. Leave Answers In Redu … 7.Which one is not the expression ofleave taking?a. See youb. Good … Solved: Directions: Work Each Problem. Be Sure To SHOW ALL … Pin on Know Your Sign British Council Magyarország - Correct the given sentences by … Which one is not the expression of leave taking? A.good bye B.good … Mood vs Emotion: Differences & Traits | Paul Ekman Group Organisations should encourage leave-taking, defer leave lapsing … Fäviken: 4015 Days, Beginning to End | Food / Cook | Phaidon Store Have an easier way for null replacement in cells · Issue #2157 … Karnaugh Maps, Truth Tables, and Boolean Expressions | Karnaugh … LGBT rights by country or territory - Wikipedia Camp Fire Green Country - Home | Facebook The Best 11 Italian Idioms And How To Use Them 巴丢草 Badiucao on Twitter: “2/N Good satire art or not, the … Chapter 1 Greeting and Leave Taking | fauzigeneraloflostsaga Binary expression tree - Wikipedia Antenatal expression of colostrum - Patient Information Brochures … DO NOW Pick up notes. Turn in Concentration and Reaction Rate lab … COVID-19 vaccine rollout: Expression of Interest for primary care … Python eval(): Evaluate Expressions Dynamically – Real Python Cooking is not hard, But… | Quotes & Writings by Imran Koduru … Cordova High School principal put on leave after comments he … The circRNA circAGFG1 acts as a sponge of miR-195-5p to promote … Transcriptome and proteome analysis reveal new insight into … Solved: 4. (10 Points) Alternative Coordinate Systems Conv … Expression of 5-lipoxygenase and 15-lipoxygenase in rheumatoid … leave on read - she left me on read | WordReference Forums Which one is not the expression of leave taking A. See you B. Good … x-raw-image:///5d8aeb250e249e12c1a0c55dca4609f8… A short dictionary of British slang | Oxford International English … NGUMC: Fresh Expressions Mini lecture series 15-1 - YouTube Watch These 15 Movies Before They Leave Netflix This Month - The … 50 Best Thanksgiving Quotes - Inspirational and Funny Quotes About … Stock import | Mage2Plenty - Magento 2 Connector Guide The ectopic expression of Arabidopsis glucosyltransferase UGT74D1 … iA Writer on the App Store Analysis of A Leave-Taking by Algernon Charles Swinburne One in five staff ‘takes sickies’ - BBC News ESC Guidance for the Diagnosis and Management of CV Disease during … Freedom of Expression on the Internet The Best 11 Italian Idioms And How To Use Them New in Cubase 11: The next generation DAW | Steinberg What Are the Different Types of Relationships? 35 Terms to Know Mini lecture series 15-1 - YouTube Amid B town drug nexus, Shah Rukh Khan’s daughter Suhana Khan … Viola Davis and Company on ‘Ma Rainey’ and Chadwick Boseman’s Last … Malcolm · PPT - ESOL Strategies PowerPoint Presentation, free download - ID … Bill of Rights (1791) - Bill of Rights Institute Karnaugh Maps, Truth Tables, and Boolean Expressions | Karnaugh … Trash & Recycling | Malden, MA x-raw-image:///feb29a2617fe53c7a92c2479098a72bb… A Gene-Expression Signature as a Predictor of Survival in Breast … Education inequalities at the school starting gate: Gaps, trends … ESC Guidance for the Diagnosis and Management of CV Disease during … Why People Leave Managers, not Companies (+ what to do about it) Like many other species including humans, sheep make different … COVID-19 vaccine rollout: Primary care participation in Phase 1b … VIZ | The Official Website for One-Punch Man A Leave-Taking – Poetry Prof ARTICLE 19 - Defending freedom of expression and information. What is gene expression? | Facts | yourgenome.org Dr. Sarah Park taking paid leave from Hawaii’s health dept. work Lionel Messi would only leave Barcelona for a winning franchise … Why People Leave Managers, not Companies (+ what to do about it) ILO COOP 100 Special Interview Series “Cultivate the COOPs” Vol.1 … 190225 G8 T1 TE Pages 251 - 300 - Flip PDF Download | FlipHTML5 Social Sciences | An Open Access Journal from MDPI The circRNA circAGFG1 acts as a sponge of miR-195-5p to promote … China Uighurs: A model’s video gives a rare glimpse inside … Disclaimer Examples - TermsFeed Home - Mesquite ISD MicroRNA expression profiles classify human cancers | Nature Mood vs Emotion: Differences & Traits | Paul Ekman Group Somatic cell nuclear reprogramming of mouse oocytes endures beyond … Dentist in Reston VA | Dr. John Han | Expressions Dental Care Labor Law: Paid sick leave law not extended by Congress, but … Consideration happens, but not during garden leave – New England … 20 Examples of How to Ask for a Customer Review (Plus Templates) BOOM! Studios Axios x-raw-image:///eed552339c343cf7f2256fbe0b6a0325… Your Guide to Masks | CDC The Best 11 Italian Idioms And How To Use Them Karnaugh Maps, Truth Tables, and Boolean Expressions | Karnaugh … LGBT rights by country or territory - Wikipedia

Ambulakral Adalah

Suatu Elevator Bergerak Dari Lantai 1 Menuju Lantai 5

>