Tentukan Kadar Urea Dalam Larutan Urea 1 Molal

Jan 28, 2021

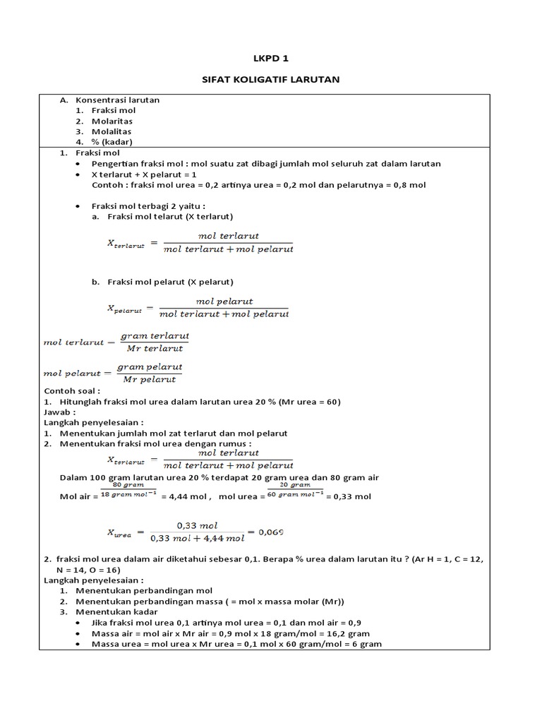
Tentukan kadar urea dlm larutan urea 1 molal? - Brainly.co.id tentukan kadar urea (Mr = 60) dalam larutan urea 1m. - Brainly.co.id tentukan kadar urea dalam larutan urea 1 molal - Brainly.co.id tentukan kadar urea dalam larutan urea 1 molal - Brainly.co.id tentukan kadar urea dalam larutan urea 1 molal - Brainly.co.id Diketahui larutan urea dalam air yang volumenya 250mL. jika diketahui titik beku larutan urea yang - Brainly.co.id Tentukan kadar urea dlm larutan urea 1 molal? - Brainly.co.id Hitunglah fraksi mol urea dalam larutan urea 2 molal - Brainly.co.id 4. Sebanyak 500 gram larutan urea (M, urea =60 g mol-1) mendidih pada suhu 105,2°C dantekanan 1 - Brainly.co.id larutan urea mendidih pada suhu 105,2 derajat celcius dan tekanan 1 atm.bjika mr urea 60 g/mol dan - Brainly.co.id Bab1sifatkoligatiflarutan [jlk9r3qq2845] hitunglah fraksi mol urea dalam larutan urea 2 molal - Brainly.co.id Kc tuntas kimia 12 1 andywaluyo.wordpress.com pupuk urea Co(NH2)2 digunakan sebagai sumber nitrogen untuk tanaman dan dapat diberikan dalam - Brainly.co.id Tentukan kadar urea dalam larutan urea 1 molal - Brainly.co.id Sebanyak 6 gram urea (Mr 60) dilarutkan dalam 200 gram air.tentukn : A. tentukan titik didih - Brainly.co.id Kumpulan Materi SMA: Contoh Soal Kimia Bab Sifat Koligatif Larutan dengan Pembahasan (Terbaru 2015) SIFAT KOLIGATIF LARUTAN – RIZA SOFIA Kc tuntas kimia 12 1 andywaluyo.wordpress.com Kc tuntas kimia 12 1 andywaluyo.wordpress.com Kc tuntas kimia 12 1 andywaluyo.wordpress.com Terlengkap] Rangkuman,100+ Contoh Soal Sifat Koligatif Larutan modul-perfect-score-dan-pecutan-kimia-serta-xa-plus-sbp-2014-with-skema Pages 151 - 200 - Flip PDF Download | FlipHTML5 Terlengkap] Rangkuman,100+ Contoh Soal Sifat Koligatif Larutan Www.indowebster.com]-Soal Koligatif Larutan LKS 1 Pendahuluan Sifat Koligatif Larutan Perhitungan Molaritas Dan Molalitas Larutan Dari Konsentrasi_Larutan_II_-_Bagian_1_0.pdf - X kimia KONSENTRASI LARUTAN II Tujuan Pembelajaran Setelah mempelajari materi ini kamu diharapkan memiliki | Course Hero Contoh Soal dan Pembahasan Penurunan Titik Beku (ΔTf) suatu larutan urea dalam air mempunyai penurunan titik beku 0,372 celcius. jika kd air = 1,86 - Brainly.co.id Modul Sifat Koligatif Larutan - [DOCX Document] Konsentrasi_Larutan_II_-_Bagian_1_0.pdf - X kimia KONSENTRASI LARUTAN II Tujuan Pembelajaran Setelah mempelajari materi ini kamu diharapkan memiliki | Course Hero Contoh Soal Sifat Koligatif Larutan Soal Latihan UTS Kimia Kelas XII bab sifat koligatif larutan Pertanyaan 1. Berapa gram urea yang diperlukan untuk membuat larutan urea 0,5 M sebanyak 250 mL ? - Brainly.co.id SIFAT KOLIGATIF LARUTAN – RIZA SOFIA Kumpulan Materi SMA: Contoh Soal Kimia Bab Sifat Koligatif Larutan dengan Pembahasan (Terbaru 2015) RPP koligatif Konsentrasi Larutan - Kimia Kelas 10 | Quipper Blog BAB 1 KOLIGATIF Contoh Soal dan Pembahasan Penurunan Tekanan Uap (ΔP) Contoh Soal Molalitas dan Fraksi Mol larutan gr mr . 1000 p .0,52 gr mr . 1000 p .0,52 520gr 360000 230400 0 520 3. suatu larutan terdiri atas 12 gram zat X (nonelektrolit) Contoh soal Molaritas Konsentrasi Larutan - Kimia Kelas 10 | Quipper Blog 1 Terlengkap] Rangkuman,100+ Contoh Soal Sifat Koligatif Larutan Suplemen Bab 1 Koligatif Larutan.pmd pembahasan koligatif purba2 - [PDF Document] modul-perfect-score-dan-pecutan-kimia-serta-xa-plus-sbp-2014-with-skema Pages 151 - 200 - Flip PDF Download | FlipHTML5 1. MOLARITAS (M) 2. NORMALITAS (N) 3. MOLALITAS (m) 4. FRAKSI MOL(X) - BAB I SIFAT KOLIGATIF LAR rev Contoh Soal Molalitas dan Fraksi Mol larutan Contoh Soal Sifat Koligatif Larutan Soal koligatif larutan BAHAN AJAR KIMIA XII Pages 1 - 50 - Flip PDF Download | FlipHTML5 Terlengkap] Rangkuman,100+ Contoh Soal Sifat Koligatif Larutan KEMOLALAN DAN FRAKSI MOL — KOLIGATIF – AMALDOFT pembahasan koligatif purba2 Modul_Sifat_Koligatif_Larutan.docx bab1sifatkoligatiflarutan - [PDF Document] pembahasan koligatif purba2 - [PDF Document] PEMBAHASAN SOAL SIFAT KOLIGATIF LARUTAN Bab1sifatkoligatiflarutan [jlk9r3qq2845] Terlengkap] Rangkuman,100+ Contoh Soal Sifat Koligatif Larutan DOC) 1.docx | rizqi mubarok - Academia.edu bab1sifatkoligatiflarutan - [PDF Document] SOAL-KIMIA-SEMESTER-1-2019 (2).doc Soal Latihan UTS Kimia Kelas XII bab sifat koligatif larutan COVER KIMIA XII.psd Latihan Soal Konsentrasi Larutan.docx Contoh Soal Molalitas dan Fraksi Mol larutan pembahasan koligatif purba2 - [PDF Document] A 1. Berapakah molaritas dari 0,5 mol urea dalam 2 liter larutan 2. Hitunglah konsentrasi NaOH yang - Brainly.co.id Konsentrasi Larutan - Kimia Kelas 10 | Quipper Blog PDF) Karakteristik urea lepas lamban pada berbagai kadar molases dalam ransum berbasis jerami padi secara in vitro Bab1sifatkoligatiflarutan [jlk9r3qq2845] Sesi 20.indd LAPORAN PRAKTIKUM 3 METABOLISME GLUKOSA, GLUKOSA, UREA, DAN … A. Pengertian Spektrofotometri merupakan salah satu metode dalam kimia analisis … Sel ini akan dipecahkan untuk … - [PDF Document] Molality and Mole Fraction Problems - YouTube LAPORAN PRAKTIKUM METABOLISME GLUKOSA SIFAT KOLIGATIF LARUTAN - Naek Marpaung’s Blog … SIFAT KOLIGATIF LARUTAN PENURUNAN TEKANAN UAP Penurunan Tekanan Uap adalah selisih antara tekanan uap jenuh pelarut murni dengan - [PDF Document] Kimia 1. pa yang dimaksud dengan sifat koligatif larutan? 2. Sifat apa sa a yang tergolong sifat koligatif? 3. Tentukan molaritas lar SIFAT KOLIGATIF LARUTAN - ebook.sman1-slo.sch. XII PS/PDF/BAB 1  · Molaritas. 2. Molalitas. 3. Fraksi mol. 1. Molaritas (M) Molaritas adalah satuan konsentrasi yang menyatakan - [PDF Document] gr mr . 1000 p .0,52 gr mr . 1000 p .0,52 520gr 360000 230400 0 520 3. suatu larutan terdiri atas 12 gram zat X (nonelektrolit) sma12kim MariBelajarKimia CrysFajar Gabungan Soal Kimia.docx - PRASYARAT 1 Fraksi mol larutan 6,4 naftalena(Mr = 128 dalam benzena(Mr = 78 adalah\u2026 A 0,01 B 0,02 C 0,03 D 0,04 E 0,05 2 | Course Hero Lkpd 1 Sifat Koligatif Larutan KEMOLALAN DAN FRAKSI MOL — KOLIGATIF – AMALDOFT sma12kim MariBelajarKimia CrysFajar Contoh Soal Molalitas dan Fraksi Mol larutan Menghitung Mr Urea Massa Molekul Relatif CO(NH2)2 | Kimia SMA - YouTube COVER KIMIA XII.psd Bab1sifatkoligatiflarutan [jlk9r3qq2845] adalah - ? · Sehingga molaritas larutanmenjadi: M x molar V M mol x laru 0,12 827,36 1000 0,1 1000 tan … - [PDF Document] gr mr . 1000 p .0,52 gr mr . 1000 p .0,52 520gr 360000 230400 0 520 3. suatu larutan terdiri atas 12 gram zat X (nonelektrolit) Modul Sifat Koligatif Larutan - [DOCX Document] sifat koligatif larutan Contoh Soal dan Pembahasan Penurunan Titik Beku (ΔTf) SIFAT KOLIGATIF LARUTAN - .m = molalitas larutan n = jumlah ion α = derajat ionisasi. Contoh Soal - [PDF Document]

Sistem Politik Indonesia Dari Masa Ke Masa

Pantun Teka Teki Dan Maknanya

>