Soal Osp Fisika 2017

Jan 27, 2021

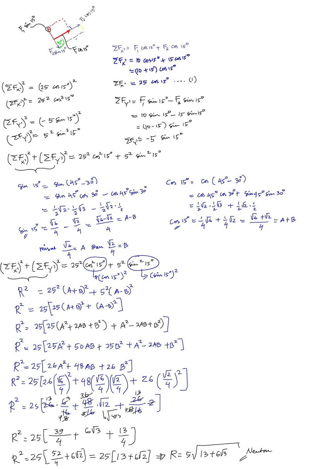
SOAL LATIHAN PERSIAPAN UN & OLIMPIADE FISIKA: September 2017 Download Soal OSP Fisika Tahun 2017 - Folder KSN OSK Olimpiade Fisika : Pembahasan OSK Tahun 2017 soal no 5 - YouTube Soal dan Pembahasan Olimpiade Fisika SMA Tingkat Kabupaten tahun … OSK Olimpiade Fisika : Pembahasan OSK Tahun 2017 Soal no 3 - YouTube Soal Olimpiade Fisika Smp Dan Pembahasan Tingkat Kabupaten Hit … OSP Olimpiade Fisika : Pembahasan OSP Tahun 2017 Soal no 1 (Cara … ilmu pengetahuan 2: Contoh Soal Fisika Osn Download Soal OSP IPA SMP 2017 - Folder KSN OSK Olimpiade Fisika : Pembahasan OSK Tahun 2017 Soal no 1 - YouTube Soal Dan Pembahasan Olimpiade Fisika Sma Tingkat Kabupaten … Soal dan Pembahasan Olimpiade Fisika SMA Tingkat Kabupaten … Soal Olimpiade Fisika Smp Dan Pembahasan Tingkat Kabupaten Hit … OSK Olimpiade Fisika : Pembahasan OSK tahun 2017 Soal no 7 - YouTube Soal dan Pembahasan Olimpiade Fisika SMA Tingkat Kabupaten 2017 … 2005 osnk fisika (tkunci) Download] Soal & Pembahasan OSK OSP OSN Fisika SMA Setiap tahun … Soal Dan Pembahasan Olimpiade Fisika SMA Tingkat Provinsi 2017 … OSP Olimpiade Fisika : Pembahasan OSP Tahun 2017 Soal no 2 - YouTube SOAL & PEMBAHASAN OSK OSP OSN FISIKA SMA 2018 (LENGKAP … OSK Olimpiade Fisika : Pembahasan OSK tahun 2017 Soal no 2 - YouTube Soal dan Jawaban OSN Fisika SMA 2019 Tingkat Kabupaten - Folder KSN Jual Elismall3 Buku Osn - Soal Dan Pembahsan Olimpiade Fisika Sma … Arsip Soal OSN Fisika SMA – Dimensi Sains Soal dan Kunci Jawaban OSN SMA Tingkat Kabupaten Tahun 2017 … Soal Olimpiade Fisika SMA/MA 2020 Dan Kunci Jawabannya Soal Osn Fisika Smp Dan Pembahasan – IlmuSosial.id Soal & Pembahasan OSK OSP OSN Fisika SMA Tahun 2019 (LENGKAP … Soal Olimpiade Fisika Smp Dan Pembahasan Tingkat Kabupaten Hit … Silabus OSN SMA 2019(Matematika, Fisika, Icho, IBO, IT, Ekonomi … GEBYAR FISIKA VII 2017 - Olimpiade Fisika - Event Indonesia Soal OSK Fisika SMA 2016 Soal Dan Pembahasan Olimpiade Fisika SMA Tingkat Nasionag Soal Olimpiade Fisika Smp Dan Pembahasan Tingkat Kabupaten Hit … OSP Fisika 2017 Soal SOAL LATIHAN PERSIAPAN UN & OLIMPIADE FISIKA: Oktober 2017 Download Soal dan Kunci Jawaban OSK Fisika SMA 2017 - Folder KSN Arsip Soal OSN Fisika SMA – Dimensi Sains Jual Buku OSN -Soal dan Pembahsan Olimpiade Fisika SMA Tingkat … Free Order Buku - PEKAN ILMIAH FISIKA XXXI Buku | Buku Soal Dan Pembahasan Olimpiade Sains Fisika Sma Tingkat … Temuan Peneliti Indonesia Jadi Soal Olimpiade Fisika Internasional Pembahasan Soal Olimpiade Fisika Sma Tingkat Kabupaten – IlmuSosial.id OLIMPIADE FISIKA 2017 Untuk SMP/SMA/Sederajat - UNY | Event … OSP Fisika 2017 Soal Soal Olimpiade Fisika SMA Plus Pembahasan Tingkat Nasional Tahun … Kisi-kisi Soal Olimpiade Fisika 2017 OSK Olimpiade Fisika : Pembahasan OSK (kota Medan) Tahun 2017 Soal … Bank Soal Olimpiade Matematika SMA | Winter Camp Persiapan OSN 2017 Soal dan Pembahasan Olimpiade Fisika SMA Tingkat Kabupaten 2017 … Olimpiade Fisika X, Lomba Penelitian Ilmiah Guru, Lomba Karya … VIDEO PEMBAHASAN SOAL OLIMPIADE FISIKA… - Fahrizal PhysMath … Buku Osn - Soal Dan Pembahsan Olimpiade Fisika Sma Tingkat Kab … PDF) Soal Pembahasan OSN Kabupaten 2017 | Jonathan Gun - Academia.edu Kumpulan Soal dan Jawaban OSK 2017 Semua Bidang jenjang SMA - Urip … Kumpulan Soal IPhO – Dimensi Sains Dara Cantik Peraih Juara Olimpiade Fisika Ini Ternyata Juga Jago … Pembahasan Soal Olimpiade Fisika Sma Tingkat Kabupaten – IlmuSosial.id Blog Archives - okfasr KELAS KSN FISIKA DAVIT SIPAYUNG: Buku KSN Fisika SMA Download Soal dan Pembahasan OSN Fisika SMA 2016 - TUTORIAL SALIM Fisika Siswa: SOAL PEMBINAAN OLIMPIADE FISIKA DAN ASTRONOMI 41-50 osn fisika (tkunci) Soal dan Pembahasan Olimpiade Fisika SMA Tingkat Kota Medan 2017 … Pembahasan Soal OSN Fisika SMA Tingkat Provinsi 2017 - Folder KSN OSP Fisika 2017 Soal PDF) Pengayaan Materi Olimpiade Fisika dan Pelatihan Penyelesaian … Soal+Kunci Jawaban Olimpiade Siswa SCE (IOSTPI) Semua Mata … Indonesia Raih 2 Medali di Olimpiade Fisika APhO Tersulit dalam … Pembahasan OSN Fisika SMA 2017 Tingkat Kabupaten - TUTORIAL SALIM Sukses Juara Olimpiade Fisika ON MIPA dan OSN Pertamina PT … Arsip Soal OSN Fisika SMA – Dimensi Sains Kunci Soal Olimpiade Fisika Nasional UM 2015 SMP-SMA » Fisika UM Buku | Buku Soal Dan Pembahasan Olimpiade Sains Fisika Sma Tingkat … Soal dan Pembahasan OSN Tingkat Kabupaten Matematika SMP Tahun … KELAS KSN FISIKA DAVIT SIPAYUNG: Buku KSN Fisika SMA Asyik, Siswa Pemenang Olimpiade Fisika Internasional Raih Beasiswa … Soal Olimpiade Fisika SMA/MA 2020 Dan Kunci Jawabannya Soal belum Siap, Olimpiade Fisika Internasional di Yogyakarta Ditunda LOSPI 2021: SOAL,KUNCI JAWABAN SOAL OLIMPIADE SAINS PLUS USU TAHUN … OSK Olimpiade Fisika : Pembahasan OSK (kota Medan) Tahun 2017 Soal … Soal Olimpiade Sains Tingkat Provinsi 2019 Bidang Fisika SMA - PDF … Fisika Siswa: SIMULASI 7: OLIMPIADE Astro BraPhy 2017 Kumpulan Soal ON MIPA PT Bidang Fisika Tahun 2011 - 2017 - Edu Campus Soal Dan Pembahasan Olimpiade Fisika Sma – IlmuSosial.id Gloraska, Perlombaan Tingkat Nasional Pendidikan Fisika FKIP … Pelaksanaan Olimpiade Sains Kabupaten 2019 – SMA Darul Ulum 2 … Soal OSK Fisika SMA 2016 - [PDF Document] Kumpulan Soal dan Pembahasan OSN Fisika - Bocah Fisika OLIMPIADE FISIKA 2017 | UNY COMMUNITY Soal OSN Ekonomi SMA/MA tingkat Provinsi 2017 + Jawaban Secara … Soal dan Pembahasan Olimpiade Fisika SMA Tingkat Kabupaten 2017 … Kumpulan Soal KSNK Tingkat SMA Tahun 2017 - Posieducation Kumpulan Soal dan Jawaban OSK 2017 Semua Bidang jenjang SMA - Urip … Soal Osn Fisika Sma 2019 - Guru Paud Kumpulan Soal Olimpiade Sains Nasional (OSN) Biologi SMA dan Kunci … Online Public Access Catalog - Perpusnas RI OSP Fisika 2017 Soal Pembahasan Soal Olimpiade Sains Kabupaten/Kota Tahun 2017 Soal dan Pembahasan Olimpiade Fisika SMP Tahun 2014 tentang Gerak …

Donwload Comic 8

Chord Piano Jaran Goyang

>