Permendikbud No 103 Tahun 2014 Tentang Rpp

Jan 27, 2021

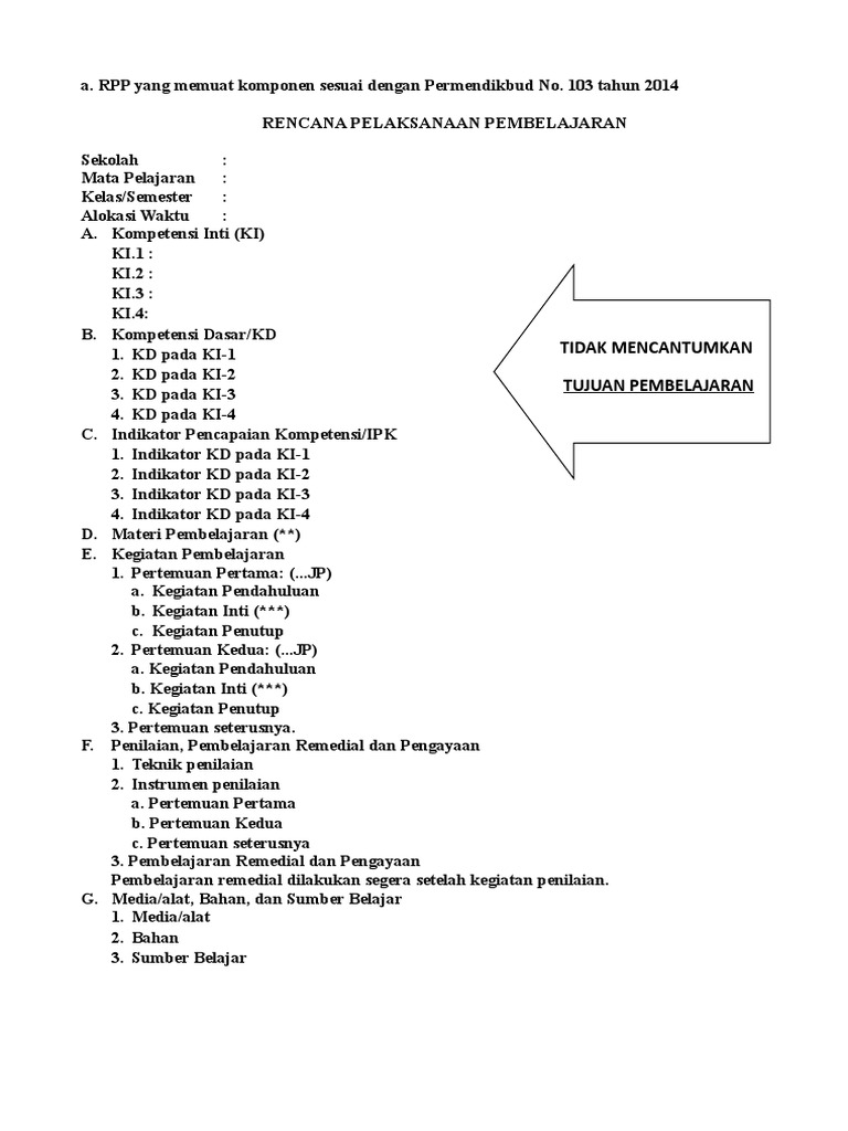
Format rpp pada permendikbud nomor 103 tahun 2014 tentang pedoman pel… Permendikbud No. 103 Tahun 2014 Tentang Pembelajaran pada … Format rpp pada permendikbud nomor 103 tahun 2014 tentang pedoman pel… Lampiran permendikbud-no-103-tahun-2014 Pembelajaran Ekonomi: Format RPP Kurikulum 2013 Berdasarkan … Format RPP Terbaru berdasarkan Permendikbud Nomor 103 Tahun 2014 … RPP (Permen 103 Th 2014) Lampiran permendikbud-no-103-tahun-2014 Format RPP Pada Permendikbud Nomor 103 Tahun 2014 Tentang … Contoh Rpp Permendikbud No 103 Tahun 2014 - Tentang Tahun Permendikbud Nomor 103 tahun 2014 tentang Pembelajaran Format RPP Pada Permendikbud Nomor 103 Tahun 2014 - Predator Dapodik Contoh Rpp Permendikbud No 103 Tahun 2014 - Tentang Tahun FORMAT RPP SESUAI PERMEN 103 TH 2014 Format rpp pada permendikbud nomor 103 tahun 2014 tentang pedoman pel… Komponen Dan Sistematika RPP Sesuai Permendikbud No 103 … Format RPP Pada Permendikbud Nomor 103 Tahun 2014 – Blog Mas Yusro Pembelajaran Ekonomi: Format RPP Kurikulum 2013 Berdasarkan … Permendikbud no-103-tahun-2014 Merancang Kegiatan Pembelajaran (Pendidikan Agama Katolik … Format RPP Pada Permendikbud Nomor 103 Tahun 2014 Tentang Pedoman … PERANCANGAN RENCANA PELAKSANAAN PEMBELAJARAN (RPP) - ppt download Permendikbud No.103 Tahun 2014: Tentang Pembelajaran Pada … Pedoman Penyusunan RPP Satu lembar Revisi 2020 - Info Pendidikan … PENYUSUNAN RENCANA PELAKSANAAN PEMBELAJARAN (RPP) - ppt download KESESUAIAN RENCANA PELAKSANAAN PEMBELAJARAN (RPP) MENURUT … Pembelajaran Ekonomi: Format RPP Kurikulum 2013 Berdasarkan … Format rpp pada permendikbud nomor 103 tahun 2014 tentang pedoman … DOC) Format RPP sesuai Permendikbud No 103 Tahun | yoni shinoda … Permendikbud Nomor 103 tahun 2014 tentang Pembelajaran RANCANGAN PEMBELAJARAN DAN GEOMETRI 1 Analisis KI-KD dalam Pengembangan IPK sesuai RPP - Copy Format RPP Pada Permendikbud Nomor 103 Tahun 2014 Tentang Pedoman … Perubahan Format RPP Kurikulum 2013 Inilah Bedanya | Soesanto DIREKTORAT PEMBINAAN SMA - ppt download DOC) RENCANA PELAKSANAAN PEMBELAJARAN.docx | Oker Rihi - Academia.edu Perbedaan RPP Berdasarkan Permendikbud 81A dengan RPP Berdasarkan … KESIAPAN GURU PPKN DALAM IMPLEMENTASI MODEL RPP KURIKULUM 2013 … Download RPP dan KKM Kurikulum 2013 SD/MI Kelas 1,2,4 dan 5 Versi … PENILAIAN DALAM KURUKULUM ppt download Panduan Penyusunan RPP SMP Sesuai Permendikbud Nomor 22 Tahun 2016 … Contoh Rpp Permendikbud No 103 Tahun 2014 - Tentang Tahun RPP Bab I PKN SMP Pages 1 - 23 - Flip PDF Download | FlipHTML5 Permendikbud Tentang Pedoman Penyusunan RPP Kurikulum 2013 Tahun … Format RPP Pada Permendikbud Nomor 103 Tahun 2014 Tentang Pedoman … Permendikbud Nomor 103 Tahun 2014 Tentang Pembelajaran | Hidayat … CONTOH RPP BAHASA INGGRIS KURIKULUM 2013 KELAS 7 TAHUN 2017 … PANDUAN PENGEMBANGAN RPP - ppt download Tugas Kegiatan Belajar 1.1 Format rpp pada permendikbud nomor 103 tahun 2014 tentang pedoman pel… Komponen Rpp Menurut Permendikbud No 103 Tahun 2014 - Tentang Tahun Penyusunan dan Penelaahan Rencana Pelaksanaan Pembelajaran Format Rencana Pelaksanaan Pembelajaran Terbaru Revisi Tahun 2016 … PEMBELAJARAN K-13 REVISI - ppt download bab ii kajian teori dan kerangka pemikiran lampiran-permendikbud-no-103-tahun-2014 - SALINAN LAMPIRAN … Format RPP Terbaru berdasarkan Permendikbud Nomor 103 Tahun 2014 … Format RPP Pada Permendikbud Nomor 103 Tahun 2014 Tentang Pedoman … Lampiran permendikbud-no-103-tahun-2014 Format RPP Pada Permendikbud Nomor 103 Tahun 2014 Tentang Pedoman … EMAN BACK TO DEPOK: Format RPP Pada Permendikbud Nomor 103 Tahun … DOC) . Format RPP Kurtilas Permendikbud 103 tahun | Mega … Rpp Nilai Positif ALI BIN ABI THALIB Lampiran permendikbud-no-103-tahun-2014 PERANGKAT PEMBELAJARAN - ppt download Komponen Rpp Menurut Permendikbud No 103 Tahun 2014 - Tentang Tahun Format RPP Pada Permendikbud Nomor 103 Tahun 2014 Tentang Pedoman … Format RPP Pada Permendikbud Nomor 103 Tahun 2014 Tentang Pedoman … Download Panduan Penyusunan RPP Tingkat SMP Tahun 2017 … Format rpp pada permendikbud nomor 103 tahun 2014 tentang pedoman … CD RPP Mapel FIQIH MA MAN MAK Kelas 10-X k13 Revisi Terbaru … 4. FORMAT RPP.doc 3 Model RPP dalam Kurikullum 2013 | SMK Negeri 1 Meureubo Komponen Rpp Menurut Permendikbud No 103 Tahun 2014 - Tentang Tahun Jual TERMURAH CD RPP PRAKARYA KELAS 9 REVISI - Kab. Cilacap … PENYUSUNAN RENCANA PELAKSANAAN PEMBELAJARAN (RPP) - ppt download Pedoman Penyusunan RPP Satu lembar Revisi 2020 - Info Pendidikan … Format rpp pada permendikbud nomor 103 tahun 2014 tentang pedoman pel… Rencana Pelaksanaan Pembelajaran Kurikulum 2013 Pada Tahun 2016 … 7. Modul Matematika Pages 101 - 150 - Flip PDF Download | FlipHTML5 lampiran-permendikbud-no-103-tahun-2014 - SALINAN LAMPIRAN … RPP KELAS 4 SD/MI KURIKULUM 2013 EDISI REVISI 2018 TA. 2019 / 2020 … Analisis Implementasi Pendekatan Saintifik dalam Rencana … Download RPP Kelas 2 SD Kurikulum 2013 Edisi Revisi 2018 Tema 1 Jual CD RPP Revisi 2018 2019 SMK MAX Abad 21 Mapel … b.4.2.3 Instrumen Telaah Rpp PERATURAN MENTERI PENDIDIKAN DAN KEBUDAYAAN REPUBLIK INDONESIA … Model Pengembangan RPP Tahun 2017 Kurikulum 2013 SMA | Sudut Baca Panduan Penyusunan RPP SMP Sesuai Permendikbud Nomor 22 Tahun 2016 … √ Download RPP PAI dan Budi Pekerti SMA K-13 Revisi - Aulaku.Com … pengembangan rpp dan lkpd matematika dengan Rencana Pelaksanaan Pembelajaran RPP – LITERASI PEDAGOGI TEKNOLOGI PERANCANGAN RENCANA PELAKSANAAN PEMBELAJARAN (RPP) - ppt download RPP 1 Lembar SMP/ MTS Revisi Tahun 2020 Semua Mata Pelajaran … PDF) Pelatihan Pembuatan Rencana Pelaksanaan Pembelajaran (RPP … Komponen Rpp Menurut Permendikbud No 103 Tahun 2014 - Tentang Tahun RPP 1 LEMBAR RPP PJJ DARING & LURING PAI & BP SMA KELAS X XI XII … Rencana Pelaksanaan Pembelajaran RPP – LITERASI PEDAGOGI TEKNOLOGI Jual CD RPP K13 Perangkat Pembelajaran Mapel SIMULASI DAN … Panduan dan Contoh Penyusunan RPP SMP/MTs Kurikulum 2013 Edisi …

Cara Membuat Bala Bala Renyah Tahan Lama

Soal Uts Quran Hadits Mts Kelas 7

>