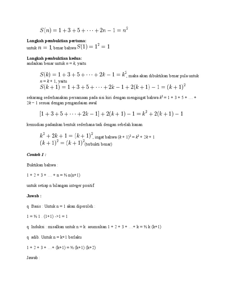
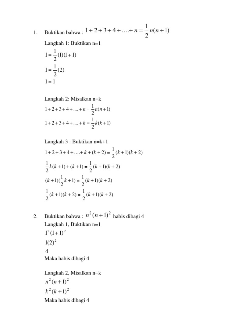
Contoh Soal Induksi Matematika Habis Dibagi

Jan 28, 2021

SOAL JAWAB INDUKSI MATEMATIKA #HABIS DIBAGI 5 - YouTube Contoh Soal Induksi Matematika Habis Dibagi 9 - Soal-Soal Contoh Soal Induksi Matematika Habis Dibagi 2 | Kumpulan Soal pelajaran 5 Contoh Soal Induksi Matematika Habis Dibagi - LatihSiswa 25 Soal dan Pembahasan Induksi Matematika | Pendidikan Matematika | Laman 5 Soal induksi Pengertian, Rumus dan Contoh Soal Induksi Matematika | Ruang Les Online Contoh Soal Induksi Matematika Habis Dibagi SOAL JAWAB INDUKSI MATEMATIKA #DAPAT DIBAGI 5 - YouTube Soal Matematika diskrit 2³n-1 habis dibagi 7 untuk semua bilangan bulat n≥1 - Brainly.co.id Induksi Matematika : Prinsip, Pembuktian Deret, Keterb 26+ Contoh Soal Induksi Matematika - Kumpulan Contoh Soal Soal Induksi Mtk Dan Cara Penyelesaian Mtk Smansa Aul….. 25 Soal dan Pembahasan Induksi Matematika | Pendidikan Matematika | Laman 5 Contoh Soal Induksi Matematika dan Jawaban [+Pembahasan] Induksi Matematika-Soal Request Laelatul Hidayah - YouTube Induksi Matematika Keterbagian_Buktikan 4007^n - 1 habis dibagi 2003 by Rumah Belajar MattPlus Induksi Matematika - Makalah, Prinsip, dan Contoh Soal √ Induksi Matematika: Materi, Contoh Soal, Pembuktian gunakan induksi matematika untuk membuktikan 11n-6 habis dibagi 5? - Brainly.co.id Induksi Matematika | . Soal dan Pembahasan Induksi Matematika (*Sumber Soal Buku Siswa Matematika SMA Kurikulum 2013) | defantri.com 01 Induksi Matematika Pada Pembuktian Rumus 3 Contoh Soal Induksi Matematika dan Pembahasannya Lengkap Contoh Soal Induksi Matematika Beserta Jawabannya Tunjukkan dengan induksi matematika bahwa 15n – 1 habis dibagi 14! - Mas Dayat print induksi.docx Contoh Soal induksi matematika buktikan n³ -n habis dibagi 3 untuk setiap n bilangan asli - Brainly.co.id Modul logika matematika 25 Soal dan Pembahasan Induksi Matematika | Pendidikan Matematika | Laman 5 Induksi Matematika, Pembuktian, Pernyataan Habis Dibagi - Belajar Mat Induksi Matematika | Pengertian, Prinsip, dan Contoh Soal Contoh Soal Induksi Matematika Habis Dibagi Brainly | Kumpulan Soal pelajaran 5 Contoh Soal Induksi Matematika.docx - Induksi Matematika Buktikan bahwa 3^(2n 2(2n 2 habis dibagi 5 Jawaban a n = 1 = 3^(2n 2(2n 2 = 3^(2(1 2^(2(1 2 = | Course Hero SOAL JAWAB INDUKSI MATEMATIKA #HABIS DIBAGI 3 - YouTube 2.1 Pendahuluan 2.2 Keterbagian Induksi Matematika : Materi, Rumus, dan Contoh Soal - AyokBoco.com Induksi Matematika. - ppt download KUMPULAN SOAL JAWAB OLIMPIADE MATEMATIKA Contoh Soal 1 Contoh Soal Induksi Matematika.docx - Induksi Matematika Buktikan bahwa 3^(2n 2(2n 2 habis dibagi 5 Jawaban a n = 1 = 3^(2n 2(2n 2 = 3^(2(1 2^(2(1 2 = | Course Hero Ppt induksi matematika Contoh Soal Induksi Matematika Habis Dibagi Bangsoal - Cute766 Dari soal di bawah ini, buktikan bahwa : 1. 1+2+3 … + N = ½ n(n+1) adalah benar untuk setiap - Brainly.co.id INDUKSI MATEMATIKA Kelas 11 Soal HABIS DIBAGI | Video 2 - YouTube Induksi Matematika 25 Soal dan Pembahasan Induksi Matematika | Pendidikan Matematika | Laman 5 √ Induksi Matematika: Konsep Materi, Contoh Soal dan Pembahasan … Contoh Soal Induksi Matematika Habis Dibagi 6 - Skuylahhu Metode pembuktian matematika INDUKSI MATEMATIKA (RANGKUMAN DAN SOAL BAHAS PEMBUKTIAN) - X-XACTA CLUB Soal Pilihan Ganda Induksi Matematika Kelas 11 - Dunia Sosial Tolong bantu ya 7^2n-1 + 3^2n habis dibagi 8 ? - Brainly.co.id Contoh Soal Induksi Matematika Habis Dibagi 6 - Soal-Soal Soal Latihan Induksi Matematika 25 Soal dan Pembahasan Induksi Matematika | Pendidikan Matematika | Laman 5 Contoh Soal Induksi Matematika - YouTube buktikan 4007n-1 habis dibagi 2003 - Brainly.co.id Induksi Matematika Pembuktian, Deret, Keterbagian, Pertidaksamaan Contoh Soal Induksi Matematika Habis Dibagi 6 | Kumpulan Soal pelajaran 5 Induksi Matematika (tambahan) File bukti induksi.doc Induksi Matematika - Pengertian, Materi, Pembahasan dan Contoh Soal Soal Persamaan Induksi Matematika - Guru Paud Buktikan dengan induksi matematika bahwa n(n + 1)(n + 2) habis dibagi 6! - Mas Dayat Induksi Matematika dan Contoh Soal | Edumatik.Net BAB IV HASIL PENELITIAN Rekursi dan Induksi Matematika soalkunci.my.id: Contoh Soal Induksi Matematika Kelas 11 Pilihan Ganda 25 Soal dan Pembahasan Induksi Matematika | Pendidikan Matematika | Laman 5 DOC) KUMPULAN SOAL JAWAB OLIMPIADE MATEMATIKAdaripertemuan Berau | putri utiw - Academia.edu Induksi Matematika: Materi, Soal, dan Pembahasan Metoda Pembuktian: Induksi Matematika .Soal Latihan 1 Buktikan 7 n 1 selalu habis dibagi 6 untuk - [PDF Document] induksi matematika , 6x7^n 2x3^n habis dibagi 4 - YouTube Soal dan Pembahasan - Induksi Matematika pada Keterbagian Bilangan - Mathcyber1997 Induksi Matematika: Pengertian, Materi, Soal dan Pembahasan Penerapan Induksi Matematika Pada Keterbagian Dan Ketidaksamaan - Dunia Sosial Penerapan Induksi Matematika Pada Keterbagian Bilangan - Guru Paud Induksi Matematika Contoh 23 - Cute766 Induksi Matematika - Materi Lengkap Matematika BAB IV HASIL PENELITIAN gunakan induksi matematika untuk menunjukkan bahwa 5pangkatn -1 habis dibagi 4 untuk semua bilangan - Brainly.co.id Thunder TeacherINDUKSI MATEMATIKA Pelajaran, Soal & Rumus Induksi Matematika | Wardaya College 01-Induksi Matematika Pada Pembuktian Rumus.pdf - INDUKSI MATEMATIKA A Induksi Matematika Pada Pembuktian Rumus Dalam kehidupan sehari hari kita sering | Course Hero SOAL UTS MATEMATIKA DISKRIT. docx Pembahasan Materi Induksi Matematika – IlmuSosial.id SerahAkuLah (@ptrdyh155) | Twitter Soal - Jawab Teori Bilangan Latihan Induksi Mat INDUKSI MATEMATIKA Dengan menggunakan induksi matematika, buktikan bahwa pernyataan-pernyataan - [PDF Document] PERTEMUAN IV Metoda Pembuktian dlm Matematika - ppt download Bilangan Asli Kurang Dari 6 Yang Habis Dibagi 2 BAB V. PENGANTAR ANALISIS ALGORITMA | by shela mumtaz | Medium Konsep, Soal dan Pembahasan Induksi Matematika - M4TH-LAB 18. soal soal notasi sigma barisan- deret dan induksi matematika Bilangan Prima Adalah - Pengertian, Rumus, Genap & Faktornya Modul/ Pelajaran : Matematika Kelas / Semester : Xl / Satu Nama Guru : Ai Windari S.P Tugas Minggu Ke : 4 Materi P Kumpulan Soal Induksi Matematika Pilihan Ganda – IlmuSosial.id Soal Pilihan Ganda Induksi Matematika Kelas 11 - Dunia Sosial

Hidrokarbon Jenuh

Luas Daerah Antara Dua Kurva

>