Contoh Soal Gravitasi Dan Pembahasannya

Jan 28, 2021

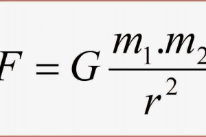
Soal dan Pembahasan Hukum Gravitasi Newton CONTOH SOAL MEDAN GRAVITASI – Physics Fun Penting dan terbaru 4: Contoh Soal Fisika Gaya Gravitasi Newton Penting dan terbaru 4: Contoh Soal Fisika Bab Gravitasi Contoh soal hukum Gravitasi Newton | Pembahasan Soal Fisika SMA Hukum Gravitasi Newton Beserta Contoh dan Pembahasan Contoh soal hukum Gravitasi Newton | Pembahasan Soal Fisika SMA Materi dan Contoh Soal Hukum Gravitasi Newton Contoh Soal Percepatan Gravitasi Soal dan Pembahasan Hukum Gravitasi Newton CONTOH SOAL MEDAN GRAVITASI – Physics Fun Contoh soal medan gravitasi dan percepatan gravitasi – Soalfismat.com Penting dan terbaru 4: Contoh Soal Fisika Gaya Gravitasi Newton Pembahasan soal gaya gravitasi | UN Fisika SMA Hukum Newton tentang Gravitasi | Belajar Fisika Asyik dan Menyenangkan Penting dan terbaru 4: Contoh Soal Fisika Bab Gravitasi Contoh Soal Menentukan Perbandingan Kuat Medan Gravitasi - Cute766 Soal dan Pembahasan Hukum Gravitasi Newton Contoh Soal Hukum Gravitasi Gravitasi Bumi - Hukum Newton, Universal, Rumus, Contoh Soal PDF) Pembahasan soal gravitasi Newton | ahmad maulana - Academia.edu Blog Posts - vegalosos Contoh soal hukum Gravitasi Newton | Pembahasan Soal Fisika SMA Kuat Medan Gravitasi Semesta – Contoh Soal dan Pembahasan - Pengertian Video Pembahasan Fisika Materi : Gaya Gravitasi {Edisi 10 Soal} - YouTube Penting dan terbaru 4: Contoh Soal Fisika Bab Gravitasi Hukum Gravitasi Newton dan Contoh Soal Gaya gravitasi-soal resultan gaya -fisika SMA - YouTube Contoh soal gaya gravitasi, gaya berat | Pembahasan Soal Fisika SMA CONTOH SOAL DAN PEMBAHASAN GAYA GRAVITASI Gravitasi Newton Materi dan soal latihan hukum gravitasi newton Modul, Rumus, & Soal Gaya & Percepatan Gravitasi | Wardaya College CONTOH SOAL DAN PEMBAHASAN GAYA GRAVITASI Modul, Rumus, & Soal Gaya & Percepatan Gravitasi | Wardaya College Contoh soal percepatan gravitasi | Pembahasan Soal Fisika SMA Contoh Soal Hukum Gravitasi Newton Beserta Jawabannya - Bali Teacher Contoh Soal Dan Pembahasan Hukum Gravitasi Newton - Contoh Soal Terbaru CONTOH SOAL DAN PEMBAHASAN MEDAN GRAVITASI FISIKA KELAS X - YouTube Hukum Gravitasi Newton - Gammafis Blog Contoh Soal Hukum Gravitasi Newton Kelas 10 Youtube – Corona Todays CONTOH SOAL MENENTUKAN PERBANDINGAN KUAT MEDAN GRAVITASI Aplikasi hukum gravitasi ~ SMA kelas XI Soal Dan Jawaban Fisika Tentang Hukum Gravitasi Newton Kelas 10 – IlmuSosial.id Materi Fisika SMA: Hukum Gravitasi Newton - Zenius Blog Soal dan Pembahasan Hukum Gravitasi Newton Hukum Gravitasi Newton Beserta Contoh dan Pembahasan Gravitasi Bumi - Hukum Newton, Universal, Rumus, Contoh Soal Soal dan Pembahasan Gaya Gravitasi - Hajar Fisika Soal dan pembahasan tentang Gaya Gravitasi (Fisika) | Usaha321.net Contoh Soal Hukum Gravitasi Newton Kelas 10 Youtube – Corona Todays Contoh soal gaya gravitasi, gaya berat | Pembahasan Soal Fisika SMA Materi Fisika SMA: Hukum Gravitasi Newton - Zenius Blog CONTOH SOAL DAN PEMBAHASAN GAYA GRAVITASI Soal pembahasan Hukum Gravitasi Newton – Blog.artikelkeren. Modul, Rumus, & Soal Gaya & Percepatan Gravitasi | Wardaya College Hukum Gravitasi Newton - Gammafis Blog Contoh Soal Dan Pembahasan Hukum Newton Tentang Gerak Dan - Cute766 Kumpulan Soal Fisika Kelas XI Kuat Medan Gravitasi Semesta – Contoh Soal dan Pembahasan - Pengertian MARETONG: Download Soal dan Pembahasan Hukum Gravitasi Newton Soal dan Pembahasan UN Fisika Tahun 2014 (Hukum Newton) – Fisika Indonesia Materi dan Contoh Soal Hukum Gravitasi Newton CONTOH SOAL DAN PEMBAHASAN GAYA GRAVITASI Materi Fisika SMA: Hukum Gravitasi Newton - Zenius Blog Contoh Soal dan Pembahasan Gaya Gravitasi - YouTube Penting dan terbaru 4: Contoh Soal Fisika Gaya Gravitasi Newton Contoh Soal Tentang Gaya Gravitasi Beserta Jawabannya Berbagi Contoh Soal - Cute766 Contoh soal dan jawaban tentang gaya Modul, Rumus, & Soal Gaya & Percepatan Gravitasi | Wardaya College Contoh Soal Dan Pembahasan Soal dan Pembahasan Hukum Gravitasi Newton Hukum Gaya Gravitasi Newton | idschool 10+ Contoh Soal Gaya Berat, Normal, Gesek, Tegangan Tali, Sentripetal, Kontak dan Pembahasan Bagian 1 | FISIKABC Cara Menghitung Rumus Percepatan Gaya Fisika Gaya gravitasi SBMPTN, pembahasan contoh soal - Asep Respati Contoh Soal Hukum Gravitasi dan Hukum Kepler - UN SMA – Pdf dan Video - lakonfisika.net Contoh soal medan gravitasi dan percepatan gravitasi – Soalfismat.com Gravitasi - Menentukan Percepatan Gravitasi pada Dua Tempat Berbeda Tinggi Soal dan Pembahasan Hukum Newton tentang Gravitasi 6 - Ayo Sekolah Fisika CONTOH SOAL : Energi Potensial Gravitasi - YouTube Contoh Soal Dan Pembahasan Hukum Gravitasi Newton - Contoh Soal Terbaru Hukum Gaya Gravitasi Newton | idschool Astronomi hk.newton tentang gravitasi Energi Potensial - Pengertian, Jenis, Gravitasi, Contoh Soal Contoh Soal Perhitungan Kuat Medan Gravitasi | ardra.biz gravitasi soal - [DOCX Document] Hukum Gravitasi Newton Adalah Gaya Tarik-Menarik - Soal dan Jawaban Usaha dan Energi ( Soal dan Pembahasan ) Gravitasi Newton Contoh Soal Dan Pembahasan Fisika Hukum Newton 1 Contoh – Corona Todays Penting dan terbaru 4: Contoh Soal Fisika Gaya Gravitasi Newton Soal dan Pembahasan Hukum Newton tentang Gravitasi 6 - Ayo Sekolah Fisika Gravitasi Bumi - Hukum Newton, Universal, Rumus, Contoh Soal Soal dan Pembahasan Gaya Newton – Sridianti.com Contoh soal hukum Gravitasi Newton | Pembahasan Soal Fisika SMA Hukum Gravitasi Newton Beserta Contoh dan Pembahasan Modul, Rumus, & Soal Energi Potensial Gravitasi | Wardaya College 20+ Contoh Soal Usaha dan Energi beserta Jawaban [+Pembahasan] Soal Dan Pembahasan Gravitasi Newton – IlmuSosial.id

Pantun Teka Teki Dan Maknanya

Contoh Cerpen Yang Mengandung Majas

>