Contoh Soal Faktorial

Jan 27, 2021

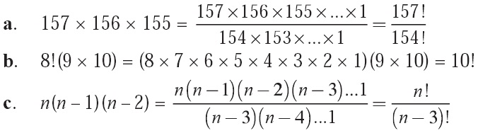
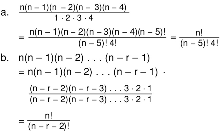
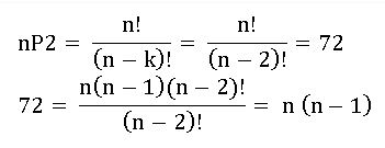
contoh soal faktorial suatu bilangan asli Contoh Soal Faktorial Ada yang bisa menjelaskan cara dari contoh soal notasi faktorial … Faktorial Matematika Beserta Contoh Soal dan Jawaban - PINTERPandai Contoh Soal Faktorial dan Jawaban [+Pembahasan] Aturan Perkalian dan Faktorial dalam Teori Peluang | Matematika … MeetTheMath Peluang) faktorial dan permutasi - YouTube Contoh Soal Faktorial Dan Permutasi Serta Pembahasannya Cara Mencari Nilai Faktorial dan Contoh Soalnya √ Teori Peluang: Materi, Contoh Soal, Pembahasan Contoh soal faktorial dan penyelesaiannya – Soalfismat.com Contoh Soal Faktorial Cara mengerjakan dari soal faktorial ini bagaimna - Brainly.co.id Contoh Soal Faktorial 3 - YouTube Pelajaran, Soal & Rumus Faktorial | Wardaya College CARA MENCARI NILAI FAKTORIAL DAN CONTOH SOALNYA Contoh Soal Faktorial Pelajaran, Soal, & Rumus Faktorial, Permutasi, & Kombinasi … Faktorial (n!) | Definisi dan Contoh Soal - CATATAN MATEMATIKA Pengertian Kaidah Pencacahan, Aturan Perkalian, Faktorial, Contoh … FAKTORIAL. - ppt download Contoh Soal: Soal Matematika Faktorial √ 20 Contoh Soal Faktorial : Pembahasan & Penjelasannya Lengkap 2021 Soal dan Solusi: Menghitung Faktorial di Python – Kode Python Contoh Soal Matematika Notasi Faktorial - LatihSiswa Pelajaran, Soal & Rumus Faktorial | Wardaya College FAKTORIAL. - ppt download √ Kaidah Pencacahan: Materi, Permutasi, Kombinasi, Peluang, Soal Rumus Cepat Faktorial - Guru Paud Contoh Soal Faktorial Pilihan Ganda dan Kunci Jawaban - Pada … CONTOH SOAL PELUANG, PERMUTASI, DAN KOMBINASI – Materi Matematika … Definisi Faktorial dan Contoh Soal Faktorial-Matematika Wajib … Contoh Soal Ral Faktorial 2 Faktor Contoh Soal Dan Jawaban Induksi Matematika Faktorial Jawaban Buku … contoh soal faktorial suatu bilangan asli - [PDF Document] Soal dan Pembahasan - Faktorial - Mathcyber1997 Contoh Soal Faktorial Suatu Bilangan Asli 30++ Contoh Soal Faktorial - Kumpulan Contoh Soal contoh soal tentang faktorial permutasi dan kombinasi - Brainly.co.id Pelajaran, Soal, & Rumus Faktorial, Permutasi, & Kombinasi … Bab 7. kombinasi,permutasi dan peluang STATISTIK DESKRIPTIF - Contoh Soal Faktorial Permutasi Kombinasi … Permutasi : Pengertian, Rumus dan Contoh Soal Contoh Soal Dan Jawaban Rancangan Pelakuan Percobaan Faktorial … Contoh Soal Faktorial 1 - YouTube Contoh Soal Faktorial Penjumlahan Contoh Soal Permutasi : Kombinasi, Siklis, Faktorial, Rumus, dan … contoh soal faktorial pecahan | TutorialBahasaInggris.Co.Id 1. Contoh soal notasi faktorial - YouTube Rancangan Percobaan (faktorial) PDF) PELUANG [KAIDAH PENCACAHAN, FAKTORIAL, PERMUTASI dan … contoh soal faktorial suatu bilangan asli contoh soal faktorial suatu bilangan asli Soal Faktorial untuk Perkalian dan Pembagian - YouTube Peluang, Kaidah Pencacahan, Permutasi dan Kombinasi, Rumus, Contoh … Jenis Permutasi dalam Teori Peluang | Matematika Kelas 12 Contoh Soal Faktorial Dan Jawabannya - Peranti Guru Aturan Pencacahan - Matematika Kelas 11 | Quipper Blog DOC) Permutasi adalah pengaturan elemen | Zaenal Arifin - Academia.edu Tuliskan dengan notasi faktorial! a. n(n – 1)(n – 2)(n – 3) (n – 4 … contoh soal permutasi 3 Contoh soal Faktorial dan penyelesaiannya - YouTube Contoh Soal Rancangan Acak Lengkap Faktorial - Contoh Soal Terbaru Pembahasan Himpunan dan Menghitung Banyaknya Himpunan Bagian Contoh Soal Cerita Faktorial Dan Jawabannya – Peranti Guru d. permutasi berulang Contoh Soal Dan Jawaban Rancangan Pelakuan Percobaan Faktorial … MATEMATIKA 11 : NOTASI FAKTORIAL | SMK BERDIKARI JEMBER Contoh Soal Peluang Faktorial Dan Permutasi – Ruang Guru dan Siswa Deret Pangkat Matematika Beserta Contoh Soal dan Jawaban Contoh Soal Rancangan Percobaan 3 Faktorial - Contoh Soal Terbaru Contoh soal-olimpiade-matematika-smama-aime-omits-dll Contoh Soal Faktorial Permutasi dan Penyelesaiannya Contoh Faktorial dan Notasinya Lengkap - Lingkaran Media meng on Twitter: “PELUANG (catatan dan contoh soal) sumber : zenius… " Kelipatan Persekutuan Terkecil | cara aimyaya | Cara Semua Cara √ 50 Contoh Soal Permutasi dan Kombinasi & Pembahasannya PDF 2021 Kumpulan Contoh Soal SKB Guru Matematika CPNS 2020 Rancangan Faktorial Menggunakan Software R | BlognaFaro.com Fungsi Rekursif dan Penerapannya di PHP – Achmatim.Net MATERI DAN CONTOH SOAL NOTASI FAKTORIAL - YouTube Cara Mengerjakan Faktorial – IlmuSosial.id Contoh Soal Rancangan Acak Kelompok 2 Faktorial - Cute766 Notasi Faktorial Dan Contoh Soal Aturan Perkalian dan Faktorial dalam Teori Peluang | Matematika … contoh-soal-pembahasan CONTOH SOAL DAN PEMBAHASAN PERMUTASI - MATEMATIKA Contoh Soal Dan Jawaban Fungsi Pembangkit Momen Probabilitas … CONTOH SOAL DAN PEMBAHASAN TENTANG PELUANG SMA | AJAR HITUNG Contoh soal-olimpiade-matematika-smama-aime-omits-dll Contoh Soal Rancangan Acak Kelompok 2 Faktorial - Contoh Soal Terbaru Faktorial Instagram posts - Gramho.com PDF) Contoh Soal pemrograman | cendy prakarsah - Academia.edu Contoh Soal Peluang Faktorial – Ruang Guru dan Siswa Menyelesaikan Soal Kombinasi - Istiyanto.Com Revisi Terbaru Contoh Soal Permutasi Kombinasi Dan Faktorial Flowchart Faktorial | BLOG PENCARI CAHAYA ILAHI Faktorial (!) √ KPK dan FPB (Definisi, Cara Mencari, Contoh Soal)

The Witcher 3 Wild Hunt Trainer

Harry Potter And The Deathly Hallows Part 2 Sub Indo

>