Contoh Soal Dan Penyelesaian Integral

Jan 28, 2021

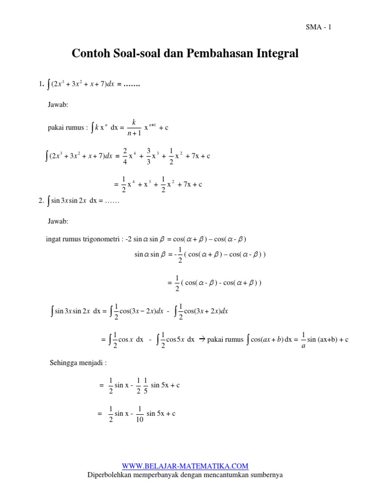
Soal integral dan pembahasan Contoh Soal Dan Jawaban Integral | Contoh Soal Dan Materi Pelajaran 7 √ Contoh Soal Integral Tentu, Tak tentu, & Parsial contoh soal dan jawaban integral tertentu - Brainly.co.id Contoh Soal Integral Tentu, Tak Tentu, Substitusi, Parsial … Kumpulan Contoh Soal Integral Dan Pembahasannya | Guru Belajarku Contoh Soal Integral Tentu, Tak Tentu, Substitusi, Parsial Raditya Yudika P: Soal dan Pembahasan Integral Subsitusi dan … Integral Tentu: Contoh Soal dan Pambahasan Cara Mengerjakan Soal Integral Tak Tentu – IlmuSosial.id Soal integral dan pembahasan Soal- soal dan Pembahasan Integral Tentu Integral Lipat 3 : Contoh Soal dan Pembahasan – Dimensi Sains √ Contoh Soal Integral Tentu, Tak tentu, & Parsial Rumus Integral, Contoh Soal dan Pembahasan - CPNS 2021 - DAYA … Contoh Soal Integral Parsial Kuliah | Kumpulan Soal pelajaran 2 Contoh Soal Dan Jawaban Materi Integral – IlmuSosial.id Contoh Penyelesaian Soal Integral dengan Teknik Substitusi Contoh Pembahasan Soal Integral | Blognya RobiMu √ Integral: Integral Tentu, Tak Tentu, Substitusi, Parsial … Soal integral dan pembahasan contoh soal integral tak tentu bentuk akar - Brainly.co.id Integral Trigonometri UN Matematika SMA Pembahasan Soal INtegral UN SMA 2018 - YouTube Integral Tak Tentu : Rumus Dasar, Contoh Soal, Pengertian Contoh Soal Integral Pecahan - Cute766 Rumus Lengkap Integral Tak Tentu: Contoh dan Pembahasannya ~ Sains … Rumus Integral Substitusi & Contoh Soal Beserta Pembahasannya Soal Integral Dan Pembahasan Pdf - fasrattorney Teknik Integral Substitusi Contoh Soal Integral Tertentu | Kumpulan Soal pelajaran 5 Kunci Jawaban Latihan Soal Integral tak Tentu Contoh-contoh Soal Dan Pembahasan Integral Untuk SMA Contoh Soal Integral Trigonometri 1 - Cute766 √ Contoh Soal Integral Tentu, Tak tentu, & Parsial Soal integral dan pembahasan Kalkulus] Contoh Soal Integral dengan Pemfaktoran Pecahan - YouTube Pdf Contoh Soal Matematika Integral DOC) soal + pembahasan integral XII IPS | Muhammad Albab … berikan contoh 1 soal dan jawaban integral tertentu dan integral … Contoh Soal dan Pembahasan Integral Tak Contoh Integral Kompleks 5 Contoh Soal Integral Tentu, Tak Tentu, Substitusi, Parsial … contoh-contoh-soal-dan-pembahasan-integral-untuk-sma Integral Trigonometri UN Matematika SMA Rumus Integral Trigonometri Dan Cara Menentukannya Teorema Dasar Kalkulus Beserta Contoh Soal dan Jawaban Teknik Integral Parsial: Rumus, Contoh Soal dan Pembahasan … Soal dan Pembahasan Metode Substitusi Integral Fungsi Aljabar (1-5 … Ruang Belajar siswa kelas 1: Contoh Soal Integral Tak Tentu Rumus Integral Parsial Dan Contoh Soal Beserta Pembahasannya PDF) APLIKASI INTEGRAL DALAM FISIKA | Fitroh Merkuri W - Academia.edu Contoh Soal Integral Tak Tentu Kalkulus 2 Contoh Soal Integral Tentu Dan Tak Tentu Beserta Jawabannya … Rumus Integral, Pola Soal Dan Pembahasan Contoh Soal Integral Tak Tentu Contoh Soal Dan Pembahasan Integral Lipat 2 A. MOMEN DAN PUSAT MASSA nbsp;· CONTOH SOAL APLIKASI INTEGRAL DAN … Contoh Soal Integral 2 | idschool Integral Lipat contoh soal - Chafia Science 60+ Soal dan Pembahasan Matematika Dasar Integral Tak tentu dan … Contoh Soal dan Pembahasan Integral for Android - APK Download Integral Tak Tentu dan Integral Tentu Integral: Pembahasan Serta Contoh Soal - Tambah Pinter Contoh Soal Dan Jawaban Integral Substitusi – IlmuSosial.id Soal Persamaan Integral - Guru Paud Integral Substitusi | Statmat.id Contoh Soal dan Pembahasan Integral Bentuk Eksponen - Kalkulus Contoh Soal Dan Pembahasan Integral Luas Daerah - Contoh Soal Terbaru Contoh Soal UN Matematika SMA Integral Fungsi Aljabar Kalkulus Contoh Soal Integral Dengan Pemfaktoran Pecahan – Cute766 Contoh Soal Dan Jawaban Integral - Dunia Sosial Integral-Luas Daerah yang Dibatasi Kurva [Contoh Soal dan Pembahasan] Contoh contoh soal integral trigonometri 1 Hasil dari sin 2 x cos … Integral Substitusi & Integral Parsial - Materi, Rumus, Contoh Soal Soal integral dan pembahasan Rumus Integral dan Tabel Integral Kalkulus - Contoh Soal dan … Integral Lipat 3 : Contoh Soal dan Pembahasan – Dimensi Sains PDF) KEMAMPUAN PEMAHAMAN KONSEP MAHASISWA DALAM MENGIDENTIFIKASI … Contoh soal dan cara penyelesaian integral tak tentu dengan mudah … Integral Parsial - Matematika G12 | Quipper Blog Rumus Integral Matematika Matematika Lanjutan/Kalkulus 2] Contoh Integral tak Wajar - YouTube Contoh Soal Integral Tak Tentu Fungsi Aljabar - Barisan Contoh Prolog Materi - Integral tertentu, contoh soal pembahasan | Zenius … Memahami Macam-macam integral – Rumus Matematika Integral Liat Tiga Sudikse Inggrid ppt download Contoh soal integral substitusi dan pembahasannya – Soalfismat.com Contoh Soal Integral Parsial Dan Pembahasannya Pdf Pengertian dan Rumus Integral Tak Tentu dan Integral Tentu Integral tak tentu Fungsi Aljabar teori , latihan Soal dan … Contoh Soal Integral Pecahan Dan Pembahasan - Skuylahhu Soal dan Pembahasan Integral Tertentu (Luas Daerah yang Dibatasi … Kumpulan Contoh Soal Integral Dan Pembahasannya | Guru Belajarku Integral Trigonometri - Rumus, Integral Cos, Soal & Pembahasan Blog Archives - burangain Symbolic Integration: Penyelesaian Integral dengan MATLAB - Advernesia Contoh Contoh Soal Dan Pembahasan Integral Untuk SMA.doc Contoh … Integral Parsial Contoh Soal dan Pembahasan - Chafia Science INTEGRAL ANTIDIFERENSIAL - belajarmeyenangkan

Keuntungan Dan Kerugian Letak Astronomis Indonesia

Contoh Soal Dan Pembahasan Aldehid Dan Keton

>