Cara Menentukan Z Tabel

Jan 27, 2021

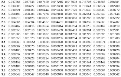
Cara Membaca atau Melihat Tabel Normal Z - Portal Statistik Tabel Z Distribusi Normal Serta Cara Membacanya - Tambah Pinter cara membaca tabel distribusi z - YouTube Analisis Statistika: Mengenal Distribusi Normal dan Cara Membaca … Menghitung Luas Area dengan Menggunakan Tabel Z Distribusi Normal Baku Menghitung Korelasi Spearman Rank – JOKHANAN KRISTIYONO Contoh Soal Distribusi Normal Tabel Z | Kumpulan Soal pelajaran 3 Tabel Z atau Z Tabel dengan Excel dan Cara Baca - Uji Statistik Tabel Distribusi Z dan Cara Membacanya | . Tabel Z Distribusi Normal Serta Cara Membacanya - Tambah Pinter Menghitung Luas Area dengan Menggunakan Tabel Z Distribusi Normal Baku Tabel Z | STATISTIKA Tabel Z : Tabel Distribusi Z dan Cara Membaca Distribusi Normal √ Distribusi Normal (Pengertian, Rumus, Contoh Soal) MENGGUNAKAN TABEL DISTRIBUSI NORMAL (Bahan Ajar Biostatistik Part … CARA MENENTUKAN NILAI ALPHA DENGAN MENGGUNAKAN TABEL Z (DISTRIBUSI … Cara Membaca Tabel distribusi normal Z Positif - YouTube √ Distribusi Normal (Pengertian, Rumus, Contoh Soal) Tabel Z Distribusi Normal Serta Cara Membacanya - Tambah Pinter Tabel T Statistik - Pengertian, Rumus, Contoh Soal, Nilai Ukuran Distribusi. - ppt download Konversi Data Ordinal ke Interval | Youngstat Contoh Soal Distribusi Normal Tabel Z | Kumpulan Soal pelajaran 3 Cara Membaca atau Melihat Tabel Normal Z - Portal Statistik tabel z Metodologi Penelitian : Merumuskan Masalah: Konsep penggunaan pada … Membuat Tabel Z - YouTube Menghitung Luas Area dengan Menggunakan Tabel Z Distribusi Normal Baku Analisis Statistika: Mengenal Distribusi Normal dan Cara Membaca … Tabel Z Distribusi Normal Serta Cara Membacanya - Tambah Pinter Tabel Z Tabel Z Distribusi Normal Kalkulator Skor Z | Pelajari tentang nilai-nilai Tabel Skor Z. Cara Membuat Tabel & Grafik Histogram serta Menentukan Z-Score … Z Tabel Mengenal Distribusi Normal Dan Cara Membaca Tabel … Contoh Soal Distribusi Normal Dan Standar Deviasi Populasi … Cara Menghitung Nilai Z di Excel: 5 Langkah (dengan Gambar) Menghitung Varian, Standart Deviasi & Z Score | INFORMATIKALOGI Normalitas Tabel Z Distribusi Normal Serta Cara Membacanya - Tambah Pinter Menghitung Luas Area dengan Menggunakan Tabel Z Distribusi Normal Baku Cara Membaca atau Melihat Tabel Normal Z - Portal Statistik Tabel Z : Tabel Distribusi Z dan Cara Membaca Distribusi Normal DISTRIBUSI NORMAL DAN STANDAR DEVIASI – Amira Khanza Cara Menggunakan Tabel Z Uji mann-whitney Cara Menghitung Nilai Z di Excel: 5 Langkah (dengan Gambar) Tabel Distribusi Z dan Cara Membacanya | . Tabel T Statistik - Pengertian, Rumus, Contoh Soal, Nilai Tabel Z Distribusi Normal Distribusi Normal - Pengertin, Rumus, Modul, Tabel dan Contoh Soal Wilcoxon Table - Contoh Tabel Wilcoxon Dan Cara Baca - Uji Statistik Tabel Z Distribusi Normal Serta Cara Membacanya - Tambah Pinter Hypothesis testing with spss program - Docsity Cara Menggunakan Tabel Z negatif - YouTube Distribusi Normal dan Standar Deviasi | Apple is Bitter Cara menghitung Z score gizi buruk : Rumus dan Contoh - DokterMuslim Ukuran Distribusi. - ppt download Tabel Z: Tabel Distribusi Z dan Cara Membaca Distribusi Normal Tabel Distribusi Z dan Cara Membacanya - Materi Lengkap Matematika DOC) Cara Mencari Nilai Tabel Z Normal | sdn umbulsari 01 … Distribusi normal Contoh Soal Uji Normalitas Secara Manual | Slashed Moon Rumus Z Score dan Cara Menghitung Z Score - Teknik Elektronika Penjelasan Tentang Uji Normalitas dan Metode Perhitungan - Uji … PENGGUNAAN STATISTIK UNTUK MENGUJI HIPOTESIS Menghitung Varian, Standart Deviasi & Z Score | INFORMATIKALOGI Distribusi binomial, poisson dan normal Cara Menentukan Nilai Alpha Dengan Menggunakan Tabel z Cara Mencari Poin Kritis Atau Nilai Z Tabel alpha 1% - YouTube Menghitung Z Score – Muhammad Burhanuddin Tabel T Statistik - Pengertian, Rumus, Contoh Soal, Nilai Contoh Soal Distr Normal - SOAL DAN PENYELESAIAN MENGHITUNG … Tabel Periodik Unsur Kimia : Sistem, Sifat dan Gambar HD Tabel Z Distribusi Normal Serta Cara Membacanya - Tambah Pinter Ukuran Distribusi. - ppt download Ingin tahu cara menggunakan Tabel-Z… - Belajar Statistika | Facebook coba lengkapi tabel di bawah ini untuk mengetahui cara menentukan … Sejarah tabel periodik - Wikipedia bahasa Indonesia, ensiklopedia … Cara Uji Independent Sample T-Test dan Interpretasi dengan SPSS … Soal Dan Jawaban Distribusi Normal – IlmuSosial.id Z tabel - Aplikasi di Google Play Penerapan distribusi normal Cara Membaca atau Melihat Tabel Normal Z - Portal Statistik Contoh pendugaan interval dengan menentukan jumlah sampel setiap … Semesta Psikometrika Cara Menghitung Nilai Alfa Dengan Menggunakan Tabel z Menghitung Varian, Standart Deviasi & Z Score | INFORMATIKALOGI Ukuran Distribusi. - ppt download CARA MENENTUKAN NILAI ALPHA DENGAN MENGGUNAKAN TABEL Z (DISTRIBUSI … Download Distribusi Nilai Tabel Statistik Lengkap - SPSS Indonesia Tabel Z Distribusi Normal Serta Cara Membacanya - Tambah Pinter DOC) UJI NORMALITAS DAN HOMOGENITAS DATA | ellyna hafizah … MENGUJI PERBEDAAN DUA PROPORSI (Z test) » maglearning.id Tabel Mann Whitney Sebagai Tabel Pembanding - Uji Statistik Bagaimana Menemukan Probabilitas untuk statistik Mean Sampling … TUTORIAL STATISTIK: Uji mediasi dengan Sobel Test Rumus Altman Z-Score untuk Prediksi Kebangkrutan Materi P3_Distribusi Normal Tabel R Statistika dan Cara Membacanya

Chord All The Time The Sigit

Muara Kasih Bunda Mp3 Free Download

>