Binomial Newton

Jan 28, 2021

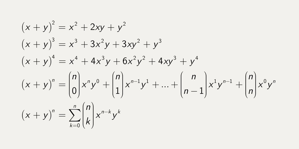
Binomial theorem - Wikipedia Binomial theorem - Wikipedia The Unique Genius of Isaac Newton | by Marco Tavora Ph.D. | Towards Data Science Binomial Newton | Instagram, Math, Newton Proof of Newton’s Binomial Theorem (English) - YouTube Pelajaran, Soal & Rumus Binomial Newton | Wardaya College Konsep Binomial Newton (Ekspansi Newton) - Konsep Matematika (KoMa) The Unique Genius of Isaac Newton | by Marco Tavora Ph.D. | Towards Data Science Binomial Newton | Matematika 5 Binomial Newton Advanced Calculus/Newton’s general binomial theorem - Wikibooks, open books for an open world Newton and the Binomial Theorem - YouTube The right illustration showing Generalized Binomial Theorem Newton Binomial coefficient - Wikipedia Binomial Expansion or Newton Sums - eyleMMath Kombinasi dan Binomial Newton dalam Teori Peluang| Matematika Kelas 12 Binomial Newton Umum ( Ringkasan dan Contoh soal ) - Chafia Science Solved: The Binomial Theorem, As Stated By Newton In His L… | Chegg.com MathType on Twitter: “Newton is usually mentioned when talking about the Binomial Theorem, but he “only” genealized it to complex exponents. The theorem was known as far back as the 6th century A Radical Approach to Real Analysis Art of Problem Solving Mathematics - Upper Secondary - YDP - Student activity - Newton’s binomial theorem Solved: Question 8: Use Newton’s Binomial Theorem To Prove… | Chegg.com Didactical material for lesson: “Newton’s binomial ” - ppt download Isaac Newton and the Binomial Theorem - ppt download Kombinasi dan Binomial Newton dalam Teori Peluang| Matematika Kelas 12 PDF) On the non-commutative Newton binomial formula madas simak UI 2016 no7 binomial newton - YouTube Binomial theorem - Knowino Simulation result for Newton Raphson(1), McLaurin Goldschmidt(2), dan… | Download Scientific Diagram Mathematics - Upper Secondary - YDP - Student activity - The binomial theorem – activity Newton Contoh Soal Tentang Binomial Newton | Terserah Saya The right illustration showing Generalized Binomial Theorem Newton Memahami Binomial Newton dan Juga Kombinasi - Kelas Pintar Suplemen - Binomial Newton Solved: (*) - (1) +…+(-1)” (m) 5. (Newton’s Binomial The… | Chegg.com Pelajaran, Soal & Rumus Binomial Newton | Wardaya College Core 4 Binomial Expansion 1 The History of Sir Isaac Newton - Presentation Astronomy Binomial Newton Extending the Binomial Theorem for fractional powers 1. Newton’s binomial theorem continued Newton’s binomial theorem is a powerful tool. Given a binomial (x + y) n. We can more The Unique Genius of Isaac Newton | by Marco Tavora Ph.D. | Towards Data Science Binomial Theorem Differential and integral calculus - online presentation BINOMIAL NEWTON - YouTube Advanced Calculus/Newton’s general binomial theorem - Wikibooks, open books for an open world The Binomial Theorem - MathCracker.com Binomial Newton How Newton Discovered the Binomial Series by Talia Theodosiou on Prezi Next h analogue of Newton’s binomial formula - THEP Mainz Memahami Binomial Newton dan Juga Kombinasi - Kelas Pintar MathType - Newton is usually mentioned when talking about the Binomial Theorem, but he “only” generalized it to complex exponents. The theorem was known as far back as the 6th century by Very interesting exercise about combinatorial theory and Binomial of Newton — Steemit MA 330 ASSIGNMENT # 8 Solutions to problems may be handwritten. Problem 1: Use Newton’s binomial theorem to produce a series a Newtons binomial and Pascals triangle 24+ Contoh Soal Kombinasi Binomial - Kumpulan Contoh Soal Intro to the Binomial Theorem (video) | Khan Academy Newton & the Binomial Theorem - ppt download Solved: 10.2.3 Deduce The General Binomial Series X(x-1),2… | Chegg.com Combinatorics and Newton’s theorem 1 Key Ideas Isaac Newton: binomial, biography, en, isaac, laws, newton, science, theorem | Glogster EDU - Interactive multimedia posters Newton Why does this trick for the binomial theorem for negative exponents work? - Mathematics Stack Exchange Deriving the Power Rule using Binomial Theorem | Three Standard Deviations above the Mean Extracting Square Roots: Newton’s Method and Binomial Theorem File:Newton’s binomial as Pascale Triangle.svg - Wikiversity Binomial newton 5 Binomial Newton Use the Binomial Series to Expand a Function (3 Surefire Examples!) Binomial theorem - Definition, Formula, Theorem, Solved Example Problems, Exercise | Mathematics Appendix D: From a Letter to Henry Oldenburg on the Binomial Series (October 24, 1676) by Isaac Newton - Real Analysis - Wiley Online Library uraikan (1-2x)pangkat 5 menggunakan binomial newton - Brainly.co.id Isaac Newton - Math Keynote | Isaac newton, Math, Binomial theorem arXiv:1603.02468v4 [math.NT] 31 Jul 2017 THE COMMUTATION RELATION xy = qyx + hf(y) AND NEWTON’S BINOMIAL FORMULA Toufik Mansour Department of Mathematics, University o Binomial Theorem, Properties of Binomial Expension - video Dailymotion Newton’s binomial thm., inclusion/exclusion Newton’s Discovery of the General Binomial Theorem BINOMIAL THEOREM OF NEWTON By Mayra Aydarbekova 8.8 The Binomial Series - jkissick/winter/ · How Newton Discovered the Binomial Top 16 Binomial Quotes: Famous Quotes & Sayings About Binomial Newton’s binomial formula презентация, доклад PDF) Infinite Product Representations for Binomial Coefficient, Pochhammer’s Symbol, Newton’s Binomial and Exponential Function Binomial distribution law. Binomial distribution Isaac Newton Storyboard by sa301466 Intro to the Binomial Theorem (video) | Khan Academy Binomial coefficient - Wikipedia M301 Aljabar : Binomial Newton - YouTube Answered: . Newton’s derivation of the sine and… | bartleby WIRIS math & science on Twitter: “Newton is usually mentioned when talking about the Binomial Theorem, but he “only” genealized it to rational exponents. The theorem was known as far back as The Newton-Pepys Problem, Measures of Central Tendency, and Symmetry of a Binomial Distribution Reviews and Cases of Note 18 Journal of Legal Economics 2011-2012 Newton binomial formula In elementary algebra the Binomial Newton Archives - Mathcyber1997 Newton Discovered - Binomial Theorem Quiz - ProProfs Quiz The Unique Genius of Isaac Newton | by Marco Tavora Ph.D. | Towards Data Science Soal dan Pembahasan Ekspansi Binomial Newton - Tanya Soal Solved: Question 8: Use Newton’s Binomial Theorem To Prove… | Chegg.com Kombinasi dan Binomial Newton dalam Teori Peluang| Matematika Kelas 12

Pengukuran Dan Ketidakpastian

Lirik Kamu Yang Ku Tunggu

>